№ 2–3 (35–36) 2024


Структурирование сублиторальной растительности дальневосточных морей России с точки зрения концепции адаптивной зоны 

Structuring the sublittoral vegetation of the Russian Far Eastern seas from the perspective of the adaptive zone concept

 

Дуленин А.А.

Alexander A. Dulenin

 

Хабаровский филиал ГНЦ РФ ФГБНУ «Всероссийский научно-исследовательский институт
рыбного хозяйства и океанографии»
– «ХабаровскНИРО» (Хабаровск, Россия)

 

УДК 574.58

 

Предложена экологически обоснованная методология выделения, описания, инвентаризации и оценки ресурсов сообществ морской сублиторальной растительности. Установлено, что пояс сублиторальной растительности дальневосточных морей России сформирован системой адаптивных зон разного ранга. Распределение растительности в отдельных районах обусловлено географией и геоморфологией их берегов. Любые описания растительных сообществ принципиально сравнимы при условии выделения главного доминанта, для которого на участке формируется адаптивная зона. В регионе выделено 67 растительных ассоциаций, большинство из которых может быть однозначно опознано визуально. Число ассоциаций уменьшается от южных районов к северным. Характер их распределения следует описывать как ценотический аспект закона Гумбольдта-Уоллеса. Ресурсы отдельных видов приурочены к их адаптивным зонам, площадь промысловых поселений равна площади зон. Объем ресурсов макрофитов Дальнего Востока оценен в 3,6 млн т.

Ключевые слова: структура растительности; сублитораль; Дальневосточные моря России

 

Введение

Настоящее сообщение представляет собой краткий обзор опыта автора по структурированию дальневосточной сублиторальной растительности, более полно изложенного в его докторской диссертации (Дуленин, 2024а). Необходимость в такой работе возникла в связи с тем, что Дальний Восток России – регион со слабо изученной сублиторальной растительностью. Ее сообщества описывали преимущественно на локальных участках Приморья (Скарлато и др., 1967; Калита, Скрипцова, 2014), на Курилах (Гусарова, 1975; Евсеева, 2007) и у берегов Сахалина (Голиков и др., 1985; Петров, Поздеев, 1992). Ряд публикаций имеют описательный характер и почти не содержат количественных характеристик растительности (Блинова, 1971; Перестенко, 1980, 1997). Обобщающие работы не имеют сведений о ценотической структуре растительного покрова (Гусарова и др., 1993) или носят компилятивный характер (Суховеева, Подкорытова, 2006; Блинова, 2014; Ресурсы …, 2020). Систематические обобщения, в которых содержались бы единообразные ценологические характеристики сублиторальной морской дальневосточной растительности, до сих пор отсутствуют.

Проблемой является принципиальная возможность приведения к «общему знаменателю» разнородных количественных и качественных описаний растительности, поскольку методические и методологические подходы к ее описанию разнятся, а данные, полученные разными исследователями, нередко представляются несопоставимыми (Афанасьев, Рубан, 2013; Дуленин, 2023). Общая синтаксономическая классификация сублиторальной растительности дальневосточных морей России до сих пор не было разработана.

Развитие науки о растительности традиционно было связано с решением практических задач, таких как рациональное использование растительных ресурсов (Шенников, 1964; Быков, 1978). Однако имеющиеся работы, посвященные морской растительности региона, не имеют практической направленности: обычно с их помощью нельзя оценить ресурсы макрофитов, сложно получить и прочие прикладные экологические характеристики.

Для исследования статистических закономерностей распределения макрофитов на инфраценотическом уровне и количественного описания ассоциаций растительности были выбраны модельные районы: южный низкобореальный у северо-западного побережья Японского моря, протяженный на 600 км с юга на север и северный высокобореальный у северо-западного побережья Охотского моря, простирающийся на 1000 км с юго-запада на северо-восток (рис. 2). Сведения о структуре их растительности с некоторыми оговорками могут быть экстраполированы на аналогичные районы Дальнего Востока.

Настоящая работа преследовала цель выявить принципиальные возможности сравнения и общие характеристики сложения сублиторальной морской растительности различных районов Дальнего Востока России.

Состояние изученности макрофитобентоса региона. В исследованиях макрофитобентоса дальневосточных морей выделено три основных направления.

  1. Исследования флоры. Флора морских водорослей-макрофитов региона в целом хорошо изучена. О ней имеется не менее 180 крупных публикаций, включая ряд обобщающих работ (Виноградова, 1979; Перестенко, 1994; Клочкова, 1998; Сёмкин и др., 2010а, б, в и др.). В этих публикациях содержатся и ценные сведения о растительности, использованные в настоящей работе.
  2. Исследования растительности. В большей или меньшей степени, характеристики сублиторальной растительности содержатся не менее, чем в 90 работах, т.е. изучению растительности уделено в 2 раза меньше внимания, чем флоре. Большинство публикаций имеет описательный характер. Экологические градиенты распределения растительности не исследованы. Почти во всех публикациях четкие критерии выделения доминирующих видов не указаны. Часто не описываются воспроизводимые процедуры выделения, описания и классификации сообществ растительности. Полная синтаксономическая классификация не выполнена ни по одному из районов. Четко обозначенная теоретико-методологическая основа, которая объединяла бы описания разных авторов, отсутствует. Во всех работах использован доминантный подход к описанию растительности (Миркин, Наумова, 2012), однако основания его использования не обсуждаются.
  3. Исследования ресурсов. Автор обнаружил более 70 крупных публикаций о ресурсах макрофитов морей Дальнего Востока. Иными словами, исследованиям, имеющим наибольшее практическое значение, уделено меньше всего внимания. Ни в одной из этих работ не приводятся экологические критерии выделения промысловых поселений макрофитов; часто не ясно, поселения какого характера авторы считали промысловыми. Объем ресурсов макрофитов оценен 14,9 млн т, а без учета запасов Eualaria fistulosa, описанных только по литературным данным, – 2,9 млн т (по: Ресурсы…, 2020). Ресурсы северной части Охотского моря, Командорских островов и Чукотки до сих пор не были инвентаризированы.

Выбор подходов для описания сублиторальной растительности Дальнего Востока России. Сказанное позволяет сформулировать основную проблему настоящей работы: до сих пор отсутствовала независимая от мнения исследователя и ценологически оправданная методологическая основа для инвентаризации донной морской растительности и ее ресурсов. Подходы к решению этой проблемы обозначены в предыдущих публикациях автора (Дуленин, 2023, 2024б).

Биологически адекватное описание донной морской растительности требует наличия общей концепции, которая объясняла бы наблюдаемый характер распределения макрофитобентоса. Для морской растительности умеренных и высоких широт типично формирование поселений, в которых структура сообщества определяется единственным видом, в то время как обилие прочих оказывается существенно ниже (Скарлато и др., 1967; Огородников, 2003; Селиванова, 2004; Taniguti, 1962; den Hartog, 2016 и др.). Такая структура соответствует концепции адаптивной зоны (Симпсон, 1948; Волвенко, 2018; Volvenko, 2022). Ее формирование обусловлено комплексом адаптаций некоторых организмов к условиям среды, обеспечивающих им наибольший успех в размножении (по: Симпсон, 1948). Адаптивные зоны разделены относительно выраженными границами и преобладают в модельных районах (Дуленин, 2023, 2024б). Узкие адаптивные зоны отдельных видов слагаются в системы широких зон высших таксонов. Пояса растительности отдельных районов целесообразно рассматривать как сложные адаптивные зоны. Они должны представлять собой систему из соподчиненных ячеек, состоящих из поясов, сложенных представителями высших таксонов и отдельных видов, разделенных экотонами, приходящимися на участки смены экологических условий (рис. 1, слева), либо хаотичную мозаику адаптивных зон отдельных видов (рис. 1, справа) в однородных условиях.

Рис. 1. Схема структуры сложных адаптивных зон (АЗ)

Fig. 1. Diagram of the of complex adaptive zones (AZ – АЗ) structure

 

Существует два крайних противоположных взгляда на природу биотического сообщества: по К. Мёбиусу это виды, связанные биотическими связями, а по К. Петерсену это лишь механический набор видов (Möbius, 1877; Petersen, 1913, 1918, по: Несис, 1977; Волвенко, 2018). Если сообщество опознается по единственному виду, оно является элементарным петерсеновским сообществом и эквивалентно адаптивной зоне (Волвенко, 2018). В таком случае ассоциация в условиях доминантной сублиторальной растительности – это группа фитоценозов с общим главным доминантом, расположенным на определенной площади в пространственных границах своей адаптивной зоны. Тогда соотношение используемых в работе понятий следующее: адаптивная зона отражает приспособительный аспект сообщества, элементарное петерсеновское сообщество – ценотический аспект по степени выраженности связей между видами, а ассоциация – его классификационный аспект. Системы зон, образуемые высшими таксонами, в этом случае должны в некоторой степени соответствовать и высшим синтаксонам в классификации растительности. Сами высшие синтаксоны также должны быть не классификационными абстракциями, а реальными сообществами со своим расположением в пространстве. На основании сказанного была сформулирована основная гипотеза этой работы: пояс сублиторальной растительности представляет собой систему адаптивных зон, сложенных петерсеновскими сообществами.

Условия обитания сублиторальной растительности в дальневосточных морях России. Регион исследования (рис. 2) расположен у северо-восточных побережий Азиатского материка, омываемых водами Тихого океана и его морями – Японским, Охотским и Беринговым. Фитогеографически он почти полностью охватывает приазиатскую часть бореальной зоны, которая разделяется на низкобореальную и высокобореальную подзоны (Перестенко, 1994).

 

Рис. 2. Фитогеографическое зонирование (по: Перестенко, 1994), районы, температуры и высота волн прибрежных вод морей Дальнего Востока России. Районы: 1 – северо-западное побережье Охотского моря (СЗОМ), 2 – север Охотского моря, 3 – Шантарские острова, 4 – западная Камчатка, 5 – восточная Камчатка, 6 – Командорские острова, 7 – Чукотка, 8 – южные Курильские острова, 9 – северные Курильские острова, 10 – восточный Сахалин, 11 – западный Сахалин, 12 – северо-западное побережье Японского моря (СЗЯМ), 13 – Приморье

Fig. 2. Phytogeographic zoning (after Perestenko, 1994): regions / temperatures / wave heights of coastal waters of the seas of the Russian Far East. Regions: 1 – northwestern coast of the Sea of Okhotsk, 2 – northern Sea of Okhotsk, 3 – Shantar Islands, 4 – western Kamchatka, 5 – eastern Kamchatka, 6 – Commander Islands, 7 – Chukotka, 8 – southern Kuril Islands, 9 – northern Kuril Islands, 10 – eastern Sakhalin, 11 – western Sakhalin, 12 – northwestern coast of the Sea of Japan, 13 – Primorye

 

Макрофитобентос региона не испытывает недостатка в биогенах (по: Шунтов, 2001). Соленость в прибрежной зоне составляет, как правило, 30–34‰ и благоприятна для развития морской растительности. Единственной большой акваторией, где морская растительность не может существовать, является лиман р. Амур с соленостью в пределах 4,1–13,3‰ (по: ЕСИМО, 2024). Остальные абиотические условия: температура, системы течений, интенсивность волнения, геоморфологическая структура берегов – существенно различаются в разных районах и влияют на характер и распределения растительности. Рассмотрение условий ее обитания позволило сформулировать ряд гипотез в отношении растительности региона:

  1. Количественные градиенты растительности должны быть выражены в низкобореальной подзоне и не выражены – в высокобореальной.
  2. В пределах модельных районов характеристики пояса сублиторальной растительности должны определяться не общим широтным градиентом, а местными географическими и геоморфологическими особенностями.
  3. Возможно отсутствие или бедность растительного покрова у аккумулятивных выровненных берегов Охотского моря.
  4. Наибольшее ценотическое богатство следует предполагать в Приморье, наименьшее – в самых северных районах, а также у Шантарских островов и у восточного Сахалина.
  5. У материковых побережий Азии между низкобореальной и высокобореальной подзонами должна формироваться дискретная ценотическая граница по лиману р. Амур, а у островных и полуостровных дуг распределение растительности между районами, вероятно, должно иметь континуальный характер.

Сформулированные гипотезы проверены в настоящей работе.

 

Материалы и методы

Было выделено 2 модельных района: относительно тепловодный южный в северо-западной части Японского моря и холодноводный северный в северо-западной части Охотского моря – с растительностью, типичной для низкобореальной и высокобореальной подзон соответственно. Исследования проводили с 1999 по 2024 гг. в обоих модельных районах с борта среднетоннажных и маломерных судов, выполняя водолазные съемки, съемки при помощи подводных роботов и беспилотников, а также наблюдения с поверхности. В южном модельном районе выполнено 14 экспедиций (3792 гидробиологических станции), в северном – 18 экспедиций (7298 станций). Данные получены в июле–сентябре в период гидрологического лета, т.е. по летнему аспекту растительности.

Регулярные водолазные съемки проводили по типическому принципу (Изучение …, 2005), на глубинах от 2 до 20 м в легководолазном снаряжении, выполняя перпендикулярные берегу гидробиологические разрезы на расстоянии 0,5–10 км друг от друга, где делали от 2 до 10 станций, в зависимости от типов побережий и однородности биоты. Удельную биомассу учитывали путем отбора проб с площадок в 0,25 м2 либо 1 м2. Проективное покрытие дна растительностью определяли глазомерно путем осмотра 10–500 м2 дна. Съемки с подводных роботов (Chasing M2 и Qysea Fifish V6) выполняли, используя выработанные методические приемы (Дуленин, Кудревский, 2019; Дуленин и др., 2022). Их применяли как инструмент рекогносцировки при водолазных съемках. Беспилотные полеты (на беспилотниках потребительского класса DJI Phantom 4 Pro v2, Mavic 2, Mini 2) выполняли по разработанным методикам (Дуленин и др., 2021) в режиме ручного управления или автоматических полетных миссий, используя программное обеспечение Map Pilot Pro, Litchi. Для обработки данных беспилотных съемок применяли программный пакет Agisoft Metashape Professional.

Для ориентирования на местности использовали мобильную геоинформационную систему AlpineQuest, в которой записывали треки передвижений, координаты и характеристики станций. Атрибутивные данные съемок, подводные фотоснимки, ортофотопланы (т.е. цифровые фотомозаики местности), растровые топографические карты и космоснимки загружали в настольную геоинформационную систему Global Mapper, создавая «цифровые двойники» (Blair, 2021; Nativi et al., 2021) экосистем: многослойные интерактивные иллюстрированные карты района съемки, содержащие в виде слоев бóльшую часть ее результатов (рис. 3) и пригодные для планирования исследований, систематизации, обработки и представления данных. Их создание обеспечивало максимальную степень верифицируемости получаемых результатов. 

Рис. 3. Участок выполнения комплексной съемки у северо-западного побережья Охотского моря (СЗОМ) в 2022 г. с результатами, систематизированными в геоинформационной системе

Рис. 3.  Участок выполнения комплексной съемки у северо-западного побережья Охотского моря (СЗОМ) в 2022 г. с результатами, систематизированными в геоинформационной системе

Рисунок оригинального размера открывается при нажатии на ссылку



Fig. 3. The site of the comprehensive survey off the northwestern coast of the Sea of Okhotsk in 2022,
with the results systematized in the geographic information system

Fig 3.  The site of the comprehensive survey off the northwestern coast of the Sea of Okhotsk in 2022,with the results systematized in the geographic information system

THE FULL-SIZED IMAGE CAN BE SEEN BY CLICKING ON THE LINK

 

Виды идентифицировали по определителям и атласам Л.П. Перестенко (1994), Н.Г. Клочковой (1996), Н.Г. Клочковой с соавт. (2009а, б). Названия таксонов приведены по (Guiry, Guiry, 2024).

В качестве промысловых учтены поселения видов в пределах своих адаптивных зон (Дуленин, 2023, 2024б). Промысловые запасы рассчитывали, суммируя произведения площади и удельных биомасс видов на промысловых участках. Оценки запасов по результатам визуальных наблюдений выполняли по разработанным методикам (Дуленин, 2016а, 2020а) на основании сопоставления оценок покрытия дна растительностью, выполняемых одновременно и независимо двумя наблюдателями.

Для определения оптимальных методов выделения доминантов (Дуленин, 2020б) сравнивали их списки, полученные семью различными способами (табл. 1). Растительные ассоциации выделены на основе концепции адаптивной зоны (Волвенко, 2018; Volvenko, 2022) по описанной ранее методике (Дуленин, 2021) на принципах редукционизма (Миркин и др., 1989), обеспечивающих минимум классификационных построений, необходимых для однозначного опознания ассоциаций и высших синтаксонов. Поскольку ассоциации в большинстве случаев опознаются визуально, оценки покрытия дна растительностью считались приоритетными для их выделения (Дуленин, 2021), а оценки удельных биомасс – дополнительными. Ассоциации опознавали по главному доминанту (ГД), принадлежащему к господствующему ярусу наибольшей высоты. В качестве доминанта каждого подчиненного яруса указывали наиболее обильный в этом ярусе вид при условии достижения порогов доминирования (Баканов, 2005), принятых ранее (Дуленин, 2020б).

Для того, чтобы сделать продромус растительности удобочитаемым для фитоценологов, использующих принципы Международного кодекса фитосоциологической номенклатуры (далее Кодекса), использована система флористической синтаксономии (Терийа и др., 2022). Она пригодна для синтаксономической классификации сообществ, описанных по доминантам (Василевич, 2010). Синтаксоны именовали по рекомендациям Кодекса (Терийа и др., 2022), давая латинские окончания -etum ассоциациям, -ion – союзам, -talia – порядкам, -tea – классам. Для синтаксономической классификации доминанты ассоциаций были обозначены в качестве их диагностических видов. Ассоциации с главными доминантами, принадлежащими к одному роду или семейству, объединяли в союзы растительности, с главными доминантами, принадлежащими к одному таксономическому порядку, жизненной форме или ярусу – в порядки, а принадлежащими к одному классу или отделу – в классы растительности. Первичные гидроботанические описания представляют собой данные для служебного пользования и полное их опубликование в соответствии с рекомендациями Кодекса (Терийа и др., 2022) невозможно. Поэтому таблицы с характеристиками ассоциаций содержат обобщенные статистические данные вместо первичных описаний.

Для установления градиентных закономерностей изменения количественного обилия доминантов использовали процедуры регрессионного анализа. Для установления сходства между разными участками растительности использовали кластерный анализ. Количественные характеристики растительности дискретных участков сравнивали с помощью подходящих параметрических и непараметрических критериев, в зависимости от характера распределения данных и объемов выборок. Статистическую обработку материалов выполняли в свободно распространяемом статистическом пакете PAST 3 (Hammer, 2023).

 

Результаты и обсуждение

Сравнение списков доминантов подводной растительности на примере северо-западного побережья Японского моря. Выделение доминантов растительности необходимо для выявления закономерностей ее распределения на инфраценотическом (Миркин и др., 2001) и ценотическом уровнях, а также для прикладных целей (рыбохозяйственные характеристики, оценка промысловых ресурсов и т.п.). В ряде работ приводятся сведения о доминирующих видах макрофитов дальневосточных морей (Гусарова, 1975; Перестенко, 1980, Дуленин, 2008 и др.). Отсутствие количественных критериев выделения доминантов в этих работах вызывало вопросы о возможности сравнения данных разных авторов и о принципиальной верифицируемости (Popper, 2002) их результатов. Указанные вопросы требовали своего разрешения.

Для этого было выполнено сравнение результатов выделения доминантов семью различными способами (табл. 1). Наименьшее их количество получено по физиономическому облику растительности (19 видов, 12% видового состава макрофитов сублиторали), наибольшее – по превышению условного порога проективного покрытия (25 видов, 16% видового состава). Среднее количество доминантов (по 21 виду, 14%) выделено по пороговому значению удельной биомассы и ранжированию ее средних значений, а также по обоим использованным коэффициентам доминирования. Списки доминантов сходны по размеру, их длина отличается не более чем на четверть. Сходство числа доминантов следует рассматривать, как один из признаков адекватности каждого из примененных способов их выделения. Все списки при попарном сравнении статистически неразличимы (табл. 1), что также говорит о сопоставимости примененных способов.

Таблица 1. Уровни статистических различий списков доминантов сублиторальной растительности северо-западной части Татарского пролива, выделенных различными способами

Table 1. Levels of statistical differences in the lists of dominant species of sublittoral vegetation along the northwestern coast of the Sea of Japan, identified using different methods

Примечание. Выше диагонали – вероятность ошибочного отклонения нулевой гипотезы р по критерию Фишера, ниже – по критерию Андерсона;  и  – коэффициент Броцкой-Зенкевича (Броцкая, Зенкевич, 1939) и его модификация для проективного покрытия (Дуленин, 2019).

Note. Above the diagonal is the probability of incorrectly rejecting the null hypothesis p according to Fisher's test; below is the probability according to Anderson's test; and  is the Brotskaya-Zenkevich coefficient (Brotskaya and Zenkevich, 1939) and its modification for projective cover (Dulenin, 2019).

 

Результаты кластерного анализа (рис. 4) показали согласованную картину: уровни сходства большинства списков доминантов высоки. Таким образом, адекватность оценок доминирования верифицируется различными способами выделения доминантов, основанными как на субъективных визуальных оценках, так и на инструментальном учете обилия. Визуально определяемые величины проективного покрытия принципиально пригодны для выделения доминантов. Однако очевидно, что 7 способов выделения доминантов для практики избыточны.

 

Рис. 4. Уровень сходства состава доминантов сублиторальной растительности у северо-западного побережья Японского моря, выделенных различными способами. Цифровые обозначения см. в табл. 1

Fig. 4. The similarity level of dominant sublittoral vegetation composition along the northwestern coast of the Sea of Japan, identified by various methods. For numerical designations, see Table 1

 

Действительно, 16% состава сублиторальной флоры, входящие в самый длинный список доминантов (25 видов по порогу проективного покрытия, № 3), занимают 81% площади дна и формируют 85% биомассы в пределах адаптивных зон пояса растительности южного модельного района. Остальными видами в большинстве практических исследований можно пренебречь. В то же время для прикладных изысканий недостаточно единственного показателя доминирования, т.к. для них используются величины как биомассы, так и относительной площади, занимаемой видами. Поэтому был предложен следующий общий алгоритм выбора способов оценок доминирования в зависимости от масштабов и задач исследования (Дуленин, 2020б):

  1. Первичную стратификацию растительности во время съемки в масштабе станции, трансекты или разреза выполняют по ее физиономическому облику (№1).
  2. Для анализа растительности ценотического или ландшафтного уровня (Мазинг, 1988, по: Миркин и др., 2001) доминанты выделяют по превышению порогов проективного покрытия и удельной биомассы (№№ 2 и 3). Такой подход пригоден для большинства исследований и был использован автором.
  3. Для анализа или сравнения растительности регионального инфраценотического уровня применимо выделение доминантов посредством ранжирования индексов доминирования (№№ 6 и 7). Это позволяет оценить истинный вклад каждого вида в формирование растительного покрова в больших районах, недоступных для непосредственного наблюдения (Дуленин, Гусарова, 2016).

По К. Попперу (Popper, 2002), критериями, позволяющими считать исследование научным, являются принципиальная возможность проверки и опровержения его результатов. Распространены взгляды, что визуальные оценки основаны на личном мнении, которое не может быть твердым основанием для принятия управленческих решений (Madsen, Bloomfield, 1993). Поэтому в южном модельном районе были проверены возможности верификации субъективных количественных оценок.

Таблица 2. Описательные статистики и показатели зависимости удельной биомассы (УБМ) и проективного покрытия (ПП) для макрофитов у северо-западного побережья Японского моря

Table 2. Descriptive statistics and relation indicators between specific biomass and projective cover for macrophytes off the northwest coast of the Sea of Japan

Очевидно, что практическое использование визуальных данных о проективном покрытии возможно при условии, если его можно удовлетворительно пересчитать в биомассу. Было установлено, что в южном модельном районе для промысловых видов зависимость между покрытием и удельной биомассой хорошо выражена (Дуленин, 2016а) и позволяет выполнять такие пересчеты (табл. 2). В северном модельном районе данные о покрытии оказались непригодны для пересчета в биомассу (Дуленин, 2015), поскольку их получали после нереста сельди, когда макрофиты покрыты ее икрой, которая скрадывает имеющиеся зависимости. Поселения сахарины японской – промыслового вида, определяющего облик растительности южного модельного района (рис. 5a), приурочены к доступным для визуальных наблюдений мелководьям, а связь покрытия и биомассы сильно выражена (табл. 2, рис. 5b).

Рис. 5. Распределение удельной биомассы сахарины японской по глубинам (a) и ее зависимость от проективного покрытия, с линией регрессии и 95% доверительными границами (b)
у северо-западного побережья Японского моря

Fig. 5. Distribution of the specific biomass of Saccharina japonica by depth (a)
and its relation with the projective cover, with fundamental regression and 95% confidence limits (b)
in the northwestern Sea of Japan

 

Рис. 6. Визуальные оценки покрытия дна растительностью двумя наблюдателями у северо-западного побережья Японского моря. ОПП – общее проективное покрытие

Fig. 6. Visual assessments of total bottom vegetation cover by two observers off the northwestern Sea of Japan coast (ОПП – total projective coverage)

 

Это позволяет использовать визуальные оценки покрытия для расчета величины промысловых запасов сахарины японской. Однако отдельную задачу представляет возможность верификации субъективных визуальных наблюдений. Основной способ обеспечения верифицируемости экспертных данных при таких наблюдениях – получение согласованных независимых оценок несколькими экспертами (Рупосов, 2015). Данные независимых наблюдений оказались сходны (рис. 6): коэффициент конкордации τ оценок общего проективного покрытия дна растительностью составил 0,73, а покрытия сахарины японской – 0,78. Вероятность случайного совпадения таких наблюдений чрезвычайно мала (p<0,0001). Доли оценок с высокой степенью согласованности составили 81% для общего покрытия и 82% для покрытия сахарины японской. Плохо согласованные оценки были редки и составляли около 3% для обоих показателей (рис. 7).

Рис. 7. Распределение разностей визуальных оценок покрытия дна растительностью двумя наблюдателями у северо-западного побережья Японского моря.
ОПП – общее проективное покрытие, ПП – проективное покрытие сахарины японской

Fig. 7. Distribution of differences in visual estimates of bottom vegetation coverage by two observers off the northwest Sea of Japan coast. Purple columns – total projective coverage, red columns – projective coverage of Saccharina japonica

 

Средние значения разности в оценках общего покрытия и покрытия сахарины японской были близки (0,08±0,01 и 0,09±0,01) и статистически незначимы (p=0,55–1 для разных показателей и статистических критериев). Следовательно, оба показателя оценивались наблюдателями с сопоставимой точностью, а их наблюдения отражали объективную картину покрытия дна растительностью.

Итак, применение параллельных независимых визуальных наблюдений оказалось пригодно для практического использования. Субъективные визуальные оценки проективного покрытия позволяют показывать характер и особенности пространственного распределения донной растительности и могут быть использованы для выявления и описания как общей адаптивной зоны пояса растительности, так и адаптивных зон отдельных видов. Применение визуальных наблюдений дало возможность сократить время учетных работ по оценке промыслового запаса сахарины японской на стандартном участке протяженностью 150 км в южном модельном районе на порядок (2–3 дня вместо 1 месяца), а стоимость – на 3 порядка (20–30 тыс. руб. вместо 12 млн руб. в ценах 2024 г.) по сравнению с традиционными водолазными съемками (Дуленин, 2020а).

Общие закономерности пространственного распределения растительности модельных районов. Рассмотрим закономерности распределения доминантов и поясов сублиторальной растительности модельных районов как систем адаптивных зон.

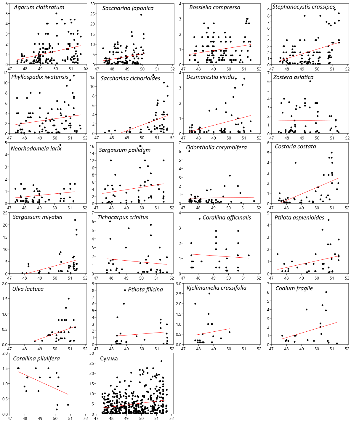
У северо-западного берега Японского моря на региональном инфраценотическом уровне состав и обилие доминантов меняются по широте и глубине (табл. 3, рис. 8).

 

Рис. 8. Распределение удельных биомасс доминантов растительности у северо-западного берега Японского моря по широте. По оси абсцисс – широта (градусы), по оси ординат – удельные биомассы (кг/м2). Показаны линии регрессии (красные линии)

Fig. 8. Distribution of dominant vegetation species specific biomass of along the northwestern Sea of Japan coast by latitude. The abscissa axis shows latitude (degrees), and the ordinate axis shows specific biomass (kg/m2). Regression lines are shown (red lines)

 

Так, на юге района преобладает Saccharina japonica с удельной биомассой до 15–24 кг/м2, которая определяет общий облик растительности. Однако на участке 50º с.ш., у мыса Сюркум, облик растительности меняется: севернее мыса S. japonica исчезает. Здесь проходит северная граница ареала этого вида. Картину дополняет исчезновение Kjellmaniella crassifolia и Corallina pilulifera. Они замещаются видами, удельные биомассы которых возрастают к северу от мыса Сюркум: S. cichorioides (от 0,41±0,12 до 2,74±0,96 кг/м2 при р=0,03), Costaria costata (от 0,21±0,10 до 2,05±0,37 кг/м2 при p=0,04) и Agarum clathratum (от 1,10±0,17 до 1,88±0,50 кг/м2 при p=0,04). Широтные изменения растительности района статистически значимы (см. табл. 3). Формирование дискретной фитоценотической границы у 50º с.ш. связано с наличием географического препятствия – мыса Сюркум (Лоция, 2003). Градиенты обилия образуют континуальные элементы структуры растительности и соответствуют местным особенностям: постепенному уменьшению ширины пояса твердых грунтов с юга на север, обусловленному снижением гидродинамической нагрузки по мере сужения Татарского пролива к северу.

 

Таблица 3. Характеристики широтных градиентов растительности у северо-западного берега Японского моря

Table 3. Characteristics of latitudinal vegetation gradients along the northwestern coast
of the Sea of Japan

 

Что касается вертикального распределения доминантов, 2/3 из них наиболее часто встречаются на глубинах менее 6 м. Для 13 (почти 2/3 видов) не выявлено статистического значимого снижения удельных биомасс с глубиной, а для четырех видов (Ulva fenestrata, Agarum clathratum, Odonthalia corymbifera, Zostera asiatica) удельные биомассы, независимо от глубины, остаются на одном уровне. Эти обстоятельства характеризуют меру устойчивости показателей обилия адаптивной зоны пояса растительности под воздействием глубинного градиента. Статистически значимое снижение удельных биомасс с глубиной отмечено только для 8 проанализированных доминантов (табл. 3).

Дендрограммы сходства растительности по глубине, построенные по удельным биомассам и проективным покрытиям, оказались близки между собой (рис. 9). Выделяется по 2 больших группы кластеров, охватывающих частично перекрывающиеся диапазоны глубин 2–11 и 8–20 м и группы, включающие глубины 2–5 м. Они показывают расхождение общей адаптивной зоны пояса растительности на более узкие зоны, приуроченные к своим глубинам. Картина имеет признаки континуума. В горизонте растительности выделяется 3 этажа. Их расположение соответствует предложенной ранее стратификации (Дуленин, 2008), однако вместо дискретных границ они имеют широкие переходные зоны: на глубинах 5–6 м и 8–11 м и 18–22 м. Ниже, до глубин 40–42 м располагается горизонт разреженных поселений вне пределов адаптивной зоны растительности.

 

Рис. 9. Сходство состава и обилия доминантов подводной растительности северо-западного берега Японского моря по глубине. Арабскими цифрами показаны глубины в метрах, римскими – номера этажей верхнего горизонта сублиторали, овалами – границы этажей

Fig. 9. Similarity in the composition and abundance of dominant underwater vegetation species along the northwestern Sea of Japan coast by depth. Arabic numerals indicate depths in meters, Roman numerals indicate the numbers of the upper sublittoral horizon levels, and ovals indicate the boundaries of the levels

 

На ландшафтном инфраценотическом уровне выражена поясная структура растительности: выделяется до 5 ценотических поясов, при этом на отдельных разрезах их количество всегда меньше. Вдоль наиболее типичных для района абразионных берегов, ниже клифа, на пологой валунной отмостке бенча с глубинами от 0 до 5–6 м располагаются по 1 или 2 пояса растительности. У самого берега формируются пояса филлоспадикса иватенского, перемежающиеся с поясами сахарины японской, которая к северу от ценотической границы у мыса Сюркум замещается сахариной цикориевидной. На границе склона и валунной отмостки сахарины сменяются поясами представителей сем. Sargassaceae, а еще ниже – поясами агарума продырявленного. На максимальных глубинах пояса образуют членистые и корковые известковые водоросли – представители порядка Corallinales (рис. 10).

Количество ценотических поясов на каждом разрезе, против ожидания, довольно мало – 1,9±0,07(1–4) и статистически значимо уменьшается с юга на север (α=-0,13±0,06, R2=0,004, p=0,03). Однако общее количество разрезов, на которых обнаружено более одного пояса, почти двукратно превышает количество разрезов с единственным ценотическим поясом – 88 против 47 разрезов соответственно.

Общая конфигурация пояса растительности существенно меняется в широтном направлении: его глубина распространения (14,5±0,5(6–22) м, α=–1,9±0,3, R2=–0,2, p<0,0001) и ширина (495±50(25–3000) м, α=–0,13±0,06, R2=0,04, p=0,03) уменьшаются к северу вслед за шириной пояса абразионных бенчей и денудационных склонов. В целом район характеризуется сочетанием дискретных и континуальных элементов сложения растительности.

 

Рис. 10. Смена ценотических поясов с доминированием отдельных видов на одном из участков северо-западного берега Японского моря

Fig. 10. Change of coenotic belts with the dominance of individual species in one of the areas off the northwestern Sea of Japan coast

 

У северо-западного берега Охотского моря на региональном инфраценотическом уровне, в отличие от южного модельного района, выделяются лишь 5 доминантов (рис. 11, табл. 4). Их состав неизменен по всему району. Исключение составляет Zostera marina, обитающая в единственном рефугиуме – мелководном и относительно хорошо прогреваемом заливе Алдома. В Охотском море помимо пространственных характеристик растительности получены данные о ее временнóй изменчивости. Показатели обилия большинства доминантов (Alaria esculenta, α=0,09±0,009, R2=0,23, p<0,0001; Stephanocystis crassipes, α=0,06±0,02, R2=0,07, p=0,002; Rhodophyta, α=0,04±0,006, R2=0,02, p<0,0001) и пояса растительности (α=0,09±0,01, R2=0,02, p<0,0001) статистически значимо растут с течением времени, вероятно вследствие потепления и уменьшения ледовитости моря (Зуенко и др., 2019). Изменения структуры растительности наблюдаются только на границах района и обусловлены географическим препятствием (полуостровом Лисянского) на северо-востоке и изменением геоморфологической структуры берегов на юго-западе. Широтные изменения обилия доминантов (кроме Saccharina latissima, табл. 4) статистически незначимы.

 

Рис. 11. Распределение удельных биомасс доминантных видов растительности северо-западного берега Охотского моря в широтном направлении. По оси абсцисс – широта (градусы);
по оси ординат – удельные биомассы (кг/м2)

Fig. 11. Distribution of the dominant vegetation species specific biomass off the northwestern Sea of Okhotsk coast in the latitudinal direction. The abscissa axis shows latitude (degrees);
the ordinate axis shows specific biomass (kg/m2)

 

Пояс растительности района приурочен к мелководьям: 78% проб собрано на глубинах до 6 м. В отличие от выраженной стратифицированности растительности ряда других районов Дальнего Востока (Гусарова, 1975; Перестенко, 1980; Бывалина и др., 1985, и др.), здесь одни и те же доминанты произрастают от верхних до нижних границ растительного покрова. Ни для одного доминанта не отмечено статистически значимого снижения обилия с глубиной (табл. 4). Суммарные удельные биомассы имеют выраженный глубинный градиент только благодаря преимущественной приуроченности к мелководьям одного из доминантов – Pseudolessonia laminarioides. Таким образом, в отличие от Японского моря, растительность северного модельного района на региональном инфраценотическом уровне относительно однородна и характеризуется выраженными континуальными чертами сложения.

Вдоль трехсоткилометрового участка на северо-востоке района, у преобладающих на этом участке аккумулятивных берегов, подводной растительности нет из-за отсутствия подходящих твердых грунтов для прикрепления водорослей-макрофитов. Однако вдоль большей части побережья, на протяжении около 600 км, растительность хорошо развита вдоль преобладающих денудационных берегов.

 

Таблица 4. Характеристики градиентов растительности северо-западного берега Охотского моря на региональном инфраценотическом уровне по данным 2020 г.

Table 4. Characteristics of vegetation gradients off the northwestern Sea of Okhotsk coast at the regional infracoenotic level according to 2020 data

 

Общая конфигурация пояса растительности сильно отличается от южного модельного района. Глубины ее распространения составляют лишь 5,4±0,2(2–11) м, т.е. в 2,7 раза меньше япономорской, а ширина пояса 270±24(50–1000) м, т.е. в 1,8 раза меньше, чем в Японском море. Обе величины не имеют значимых широтных трендов (глубина распространения – α=0,3±0,2, R2=0,03, p<0,07, а ширина – α=15±28, R2=0,002, p<0,59). На ландшафтном уровне растительность также отличается от япономорской. Среднее количество ценотических поясов равно 1,5±0,07. Суммарное количество разрезов с выраженной поясностью почти двукратно меньше ценотически однородных разрезов (45 и 81, соответственно). Характер смены адаптивных зон на неоднородных участках пояса растительности показывает, что это не последовательная смена ценотических поясов с глубиной, как в Японском море, а однородные профили растительности либо хаотичное расположение различных адаптивных зон на разных глубинах.

Итак, имеющиеся материалы позволили дать количественную характеристику общих адаптивных зон растительности модельных районов и статистически показать степень их неоднородности. В южном районе сублиторальная растительность относительно богата и разнообразна. На инфраценотическом уровне она сочетает в себе дискретные и континуальные элементы. Северный модельный район отличается относительно бедной и однородной растительностью с выраженными континуальными чертами. В соответствии с гипотезой 1, высказанной во Введении, количественные градиенты пояса растительности оказались выражены в южном модельном районе и не выражены либо слабо выражены в северном. Общие характеристики растительности модельных районов обусловлены местными географическими и геоморфологическими особенностями, что подтверждает гипотезу 2. У выровненных аккумуляционных берегов, в полном соответствии с гипотезой 3, растительный пояс отсутствует. Растительность районов соответствует симпсоновской модели сложных адаптивных зон, внутри которых выделяются пояса и мозаики подчиненных адаптивных зон отдельных видов. Их было целесообразно описать в качестве ассоциаций сублиторальной растительности.

Ассоциации сублиторальной растительности модельных районов. Результаты описания растительных ассоциаций модельных районов опубликованы ранее (Дуленин, 2023, 2024б). Здесь дан пример описания ассоциации Stephanocystetum crassipae Dulenin 2024. Это единственная из ассоциаций макроводорослей, общая для обоих модельных районов, что делает интересным сравнение характеристик ассоциации в их пределах. Ее номенклатурный тип (holotypus hoc loco) приведен в табл. 5, облик и распространение – на рис. 12, характеристики модельных районах – в табл. 6 и 7.

 

Таблица 5. Номенклатурный тип асс. Stephanocystetum crassipae. Фрагмент электронной таблицы с первичным описанием

Table 5. Nomenclatural type of the assotiation Stephanocystetum crassipae. Fragment of an electronic table with the primary description

 


Рис. 12. Физиономический облик ассоциации Stephanocystetum crassipae (a) и ее распространение у северо-западного берега Японского моря (b)

Fig. 12. Physiognomic appearance of the Stephanocystetum crassipae association (a) and its distribution along the northwestern Sea of Japan coast (b)

 

Таблица 6. Качественные и количественные характеристики ассоциации
Stephanocystetum crassipae у северо-западного берега Японского моря

Table 6. Qualitative and quantitative characteristics of the Stephanocystetum crassipae association off the Sea of Japan northwestern coast

 

Диагностический вид – Stephanocystis crassipes. Ассоциация региональная, распространена повсеместно в обоих модельных районах как у открытых побережий, так и в полузащищенных местообитаниях. Образует фитоценозы на скалистых, глыбовых, валунных и галечных грунтах при уклоне от незаметного до слабонаклонного. Формируется на глубинах от 2 до 10 м. Высота растительного покрова до 3 м. Образована преимущественно многолетними растениями. Формирует легко доступные для промыслового освоения поселения.

В Японском море глубины ее распространения статистически значимо уменьшаются к северу (α=-0,52±0,16, R2=0,1, p=0,002). Выявленная частота встречаемости – 3%.

В ассоциации выражено до 4 ярусов. Ее ценофлора насчитывает не менее 22 видов, однако в отдельных описаниях отмечено лишь от 1 до 8, в среднем – 4 вида. Монодоминантны 40% фитоценозов.

В северном модельном районе характеристики ассоциации сильно отличаются от южного. С юга на север ассоциации распределяется по глубине статистически равномерно (α=0,06±0,08, R2=0,04, p=0,46). В ценофлоре отмечено 6 видов (табл. 7) против как минимум 22 видов в Японском море. В сборах отмечали от 1 до 4, в среднем 1,6 вида. В качестве субдоминантов отмечены 3 вида в I ярусе, в качестве доминантов II яруса – красные водоросли.

 

Таблица 7. Качественные и количественные характеристики ассоциации Stephanocystetum crassipae у северо-западного берега Охотского моря

Table 7. Qualitative and quantitative characteristics of the Stephanocystetum crassipae association off the Sea of Okhotsk northwestern coast

 

Экотопические условия формирования ассоциации сходны с таковыми для Японского моря. Однако выявленная частота встречаемости ассоциации в обсуждаемом районе – 21% против 3% в Японском море (Дуленин, 2021). Таким образом, в Охотском море ассоциация стефаноцистиса весьма широко распространена, формируя пятую часть растительного покрова дна. Среднее суммарное проективное покрытие в ассоциации 0,65 и средняя удельная биомасса 5,53 кг/м2 против 1 и 8,8 кг/м2 в Японском море, соответственно. Монодоминантными были 14% фитоценозов ассоциации против 40% в обследованной части Японского моря. Таким образом, макрофиты ассоциаций стефаноцистиса в различных районах реализуют существенно различающиеся жизненные стратегии. В Охотском море фитоценозы ассоциации захватывают большие площади дна, имея относительно низкие показатели обилия, тогда как в условиях высокой конкуренции за субстрат на мелководьях Японского моря (Дуленин, 2021) они достигают значительных показателей обилия на небольших площадях. Индекс доминирования Броцкой–Зенкевича, рассчитанный для ассоциации в Охотском море, составил 1,08, тогда как в Японском – 0,51. Это позволяет говорить, что в борьбе за существование главный доминант ассоциации почти в 2 раза более успешен в северном модельном районе по сравнению с южным.

Всего в южном модельном районе описано 16 ассоциаций и одна группа фитоценозов (Дуленин, 2021). В северном модельном районе описано 5 ассоциаций и одна группа сообществ (Дуленин, 2023), т.е. его ценотическое богатство в 3 раза ниже, чем в южном районе. Ценофлоры южного района также в 3 раза богаче северного: 18,7±1,8(7–31) видов против 5,6±0,2(5–6) видов. Максимальное богатство япономорских ценофлор в 6 раз больше охотоморских.

Видовое богатство ценофлор южного модельного района выявлено на относительно небольшом количестве описаний: 16,2±3,9(3–55). В северном районе ассоциации выделены по 60,4±12(20–90) описаниям. Показано, что богатство ценофлоры ассоциации зависит от количества описаний и имеет вид кривой Берталанфи с относительно узкими доверительными границами. Если описаний не менее 20, количество видов ценофлоры стабилизируется и почти не увеличивается по мере роста количества описаний, приближаясь к асимптотическому значению. Эта закономерность является частным случаем зависимости «виды–площадь» (Кафанов, Жуков, 1993). Из графиков следует, что ценофлоры ассоциаций, выделенных не менее, чем по 20 описаниям, изучены достаточно полно, а их списочный состав близок к действительному, что позволяет использовать имеющиеся данные для анализа структуры ассоциаций (Дуленин, 2024а). Постоянство встречаемости видов ценофлор не превышает 50%, т.е. они лишены явно выраженной связи с синтаксонами. Иными словами, «верные» виды (Миркин и др., 1989) отсутствуют, а диагностировать сообщества по их сочетаниям невозможно. Из сказанного следует, что избранная модель элементарного петерсеновского сообщества, где единственный главный доминант определяет структуру этого сообщества, наиболее адекватна для описания растительности модельных районов, а собственно флористический подход для классификации их растительности бесперспективен. Показатели обилия каждой ассоциации создаются преимущественно за счет ее главного доминанта. В южном модельном районе главные доминанты ассоциаций формируют в среднем 58% проективного покрытия и 53% удельной биомассы, а в северном – 75% и 74% соответственно. У япономорских берегов уровень сходства ценофлор ассоциаций, выделенных не менее, чем по 20 описаниям, весьма высок – от 82 до 98%. В их составе обнаружено 39 видов, т.е. 91% видов, для которых удалось собрать количественные данные. Иными словами, все проанализированные ассоциации включают в состав своих ценофлор подавляющую часть массовых видов, а находки всех видов, кроме главного доминанта, в каждой ассоциации случайны. В северном модельном районе ценофлоры ассоциаций водорослей сходны на 100%. Таким образом доказано, что рассмотренные ассоциации являются элементарными петерсеновскими сообществами (Дуленин, 2024а).

Независимо от районов и используемых показателей наблюдается кратное снижение обилия главных доминантов вне пределов своих ассоциаций – в среднем в 2,8 раза по проективному покрытию и в 4,2 раза по удельной биомассе в южном модельном районе и в 2,2 раза по обоим показателям в северном. Различия обилия главных доминантов в своих ассоциациях и вне их пределов статистически значимы (p≤0,001, тест Колмогорова-Смирнова). Следовательно, такое снижение обилия закономерно, а утверждение о том, что ассоциации формируются в пределах адаптивных зон своих главных доминантов, не поддается статистическому опровержению. Механизмы захвата субстрата покровообразующими видами уже обсуждались (Miller et al., 2018; Layton et al., 2019; Shelamov et al., 2022). Вероятно, они универсальны и обеспечивают формирование адаптивных зон в районах с выраженным доминированием видов. Адекватность модели ассоциации, как мозаики элементарных петерсеновских сообществ в пределах адаптивных зон, подтверждается данными об относительной площади, занятой фитоценозами ассоциаций модельных районов. В Охотском море описанные ассоциации занимают 88% площади дна (Дуленин, 2023). Лишь оставшиеся 12% приходятся на разреженные поселения. В Японском море эта доля ниже – 68% (Дуленин, 2021) за счет большей относительной площади экотонов, существующих между более разнообразными сообществами.

Сказанное позволяет рассматривать сообщества макрофитов с точки зрения петерсеновского подхода, как статистический ансамбль видов (Несис, 1977). Описанная картина отвечает концепции адаптивной зоны (Волвенко, 2018). Это значит, что для опознания ассоциации необходимо и достаточно выделить главный доминант описываемого участка. Визуально хорошо опознаются 65% ассоциаций южного и 83% ассоциаций северного модельных районов (Дуленин, 2024б). Для идентификации остальных необходим отбор проб со дна. Участки расположения фитоценозов соответствуют участкам расположения адаптивных зон главного доминанта каждой ассоциации. Из этого следует, что обозначенную во введении проблему согласования описаний сообществ, выполненных разными авторами, и состоящую в выделении произвольного количества доминантов и субдоминантов, легко решить на основании концепции адаптивной зоны и модели элементарного петерсеновского сообщества. В этом случае необходимо сравнивать не весь флористический и доминантный состав сообществ, а только их главные доминанты.

Сравнение сублиторальной растительности районов Дальнего Востока России. Анализ литературных данных и сведения о структуре растительных сообществ двух модельных районов позволили применить концепцию адаптивной зоны для инвентаризации и сравнения сублиторальной растительности дальневосточных морей России в целом. Для этого использованы приведенные в литературе количественные данные либо словесные указания на то, что для отдельных видов формируются свои адаптивные зоны, т.е. каждый вид количественно преобладает над всеми другими на некотором множестве участков. Эти адаптивные зоны описаны в качестве растительных ассоциаций. В сублиторали морей Дальнего Востока России по собственным и литературным данным выделено 67 ассоциаций. Их списки сведены в аналитические таблицы, показывающие их по районам и ярусам растительности. Здесь (табл. 8) для примера приведена таблица распределения ассоциаций бурых водорослей (Phaeophyceae Kjellman 1891), формирующих основу растительного покрова сублиторали региона.

 

Таблица 8. Распространение ассоциаций бурых водорослей в районах Дальнего Востока России (по: Дуленин, 2024а)

Table 8. Distribution of brown algae associations in the regions of the Russian Far East
(according to: Dulenin, 2024а)

 

Такие таблицы создают техническую основу для инвентаризации сублиторальной растительности, анализа ее богатства и распространения ее элементов в регионе. Кроме того, они сами по себе представляют информационную ценность, поскольку позволяют визуализировать экосистемные характеристики растительности региона. Анализ пробелов в этих таблицах позволяет предполагать наличие элементарных петерсеновских сообществ ряда доминантов в районах, где они еще не обнаружены и планировать дальнейшие ценологические исследования.

Полная картина распределения выделенных растительных ассоциаций по районам Дальнего Востока России приведена на рис. 13.

 

Рис. 13. Географическое распределение выделенных ассоциаций сублиторальной морской растительности в районах Дальнего Востока России. Цифрами обозначены районы как на рис. 2 (из: Дуленин, 2024а)

Рис. 13.  Географическое распределение выделенных ассоциаций сублиторальной морской растительности в районах Дальнего Востока России. Цифрами обозначены районы как на рис. 2 (из: Дуленин, 2024а)

Рисунок оригинального размера открывается при нажатии на ссылку


Fig. 13. Geographical distribution of the identified associations of sublittoral marine vegetation in the areas of the Russian Far East. The numbers indicate the regions as in Fig. 2 (from: Dulenin, 2024а)

Fig 3.  Geographical distribution of the identified associations of sublittoral marine vegetation in the areas of the Russian Far East. The numbers indicate the regions as in Fig. 2 (from: Dulenin, 2024а)

THE FULL-SIZED IMAGE CAN BE SEEN BY CLICKING ON THE LINK

 

Ассоциации бурых водорослей распространены во всех районах Дальнего Востока, 25 их доминантов формируют I ярус растительности, а 9 – II ярус. Величина относительного ценотического богатства, т.е. доли сообществ отдельного района от количества сообществ всего региона, составляет 8–24%, в среднем 13±2%. График распределения количества ассоциаций по районам (рис. 14 a) имеет трехмодальное распределение, что позволяет выделить 3 группы ассоциаций. Почти третья часть из них распространены узко – в пределах только одного района. Около половины (51%) распространены в 2–5 районах, часто соседних. Наконец 9% максимально широко распространенных сообществ встречаются в 7–9 районах. Их слагают широко распространенные в северном полушарии Земли виды (Agarum clathratum, Alaria esculenta, Zostera marina и т.д.). Умеренно и широко распространенные доминанты составляют основу сублиторальной растительности морей Дальнего Востока. Распределение ассоциаций по районам Дальнего Востока России показано на рис. 13.

Ранжирование количества ассоциаций по районам (рис. 14 b) характеризует общее ценотическое богатство районов и позволяет выделить две группы ассоциаций: ценотически бедные 8 районов, в которых обнаружено 5–11 сообществ, и ценотически богатые 5 районов, где найдено от 19 до 32 сообществ.

Рис. 14. Распределение выделенных ассоциаций по количеству районов распространения (a) и ценотическое богатство сублиторальной растительности районов Дальнего Востока (b)

Fig. 14. Distribution of the selected associations by the number of distribution areas (a) and cenotic richness of sublittoral vegetation of the Far East areas (b)

 

Самые бедные районы – Чукотка и Шантарские острова, где указано по 6 и 7 ассоциаций соответственно, а самый богатый район – Приморье с 31 ассоциацией. Ценотически бедные регионы как правило самые северные и холодноводные. Западная Камчатка и восточный Сахалин оказались ценотически бедны не только из-за климатических условий, но и благодаря преобладанию у своих берегов аккумулятивных грунтов, не подходящих для прикрепления водорослей в соответствии с гипотезой 3, высказанной во Введении. Уменьшение же ценотического богатства районов к северу подтверждает гипотезу 4. Ценотически богатые районы расположены преимущественно на юге Дальнего Востока. Выявленное закономерное увеличение ценотического богатства к югу выражает фитоценотический аспект известного закона Гумбольдта-Уоллеса (Кафанов, Кудряшов, 2000). Кроме того, ценотическое богатство южных районов обусловлено близостью к центру видообразования макрофитов у берегов Японии (Клочкова, 1996) и наибольшим топическим разнообразием прибрежной зоны Приморья (Лоция …, 1984).

Уровни сходства ценотического состава районов по результатам кластерного анализа (Дуленин, 2024а) изменяются закономерно. Максимально (на 90%) сходны списки западного Сахалина и северо-западной части Японского моря, что неудивительно, учитывая сходство природных условий противоположных берегов Татарского пролива. Далее, сходными на 73–83% оказались все районы относительно изолированной холодноводной северной части Охотского моря. Степень сходства грозди сообществ открытых морских районов – восточной Камчатки, Командорских и Курильских остров – ожидаемо оказалась относительно небольшой: 42–51%. Сублиторальная растительность Чукотки оказалась в отдельной ветви. Она имеет наименьшую степень сходства с другими районами, что должно быть связано с весьма суровыми климатическими условиями, удаленностью и со слабой изученностью этого района. Наименьшее ценотическое сходство (17%) расположенных рядом модельных районов обусловлено разделяющим районы опресненным лиманом р. Амур, который формирует дискретную биотическую границу. В то же время районы от восточного Сахалина до восточной Камчатки объединяются в одну большую гроздь, а изменение ценотической структуры их растительности имеет, помимо дискретных, и континуальные черты в соответствии с гипотезой 5, высказанной во Введении.

Сведения о флористическом богатстве отдельных районов Дальнего Востока (Клочкова, 1998) позволили статистически описать цено-флористический градиент, т.е. зависимость между количеством видов флоры района и количеством формируемых в районе сообществ (Дуленин, 2024а). Он (α=0,14±0,06) хорошо выражен (R2=0,56) и статистически значим при уровне значимости 0,1 (p=0,05). Существование такой зависимости статистически и экологически оправдано: чем богаче флора района, тем больше видов добьются успеха в борьбе за субстрат и найдут условия для формирования собственных адаптивных зон. Помимо теоретического, график имеет практическое значение. В районе, показанном точкой ниже линии регрессии (Командорские острова), количество сообществ значительно ниже среднего (даже за пределами 95% доверительных границ). Это указывает на их недоизученность и позволяет планировать здесь ценологические исследования.

Итак, применение концепции адаптивной зоны дало возможность описать ассоциации сублиторальной растительности всех районов Дальнего Востока России, показав основные «горизонтальные» характеристики их распределения. В частности, концепция позволила установить систематические группы, формирующие основу растительности, дать картину распределения сообществ по районам, охарактеризовать уровни ценотического богатства и сходства районов. Результаты анализа позволили выявить и охарактеризовать увеличение ценотического богатства с севера на юг и его связь с флористическим богатством. Полученные результаты позволили перейти к следующему этапу исследования: построить «вертикальную» иерархическую структуру растительности, т.е. выполнить ее синтаксономическую классификацию и составить ее продромус (Дуленин, 2024а).

Продромус дальневосточной сублиторальной растительности. Дж. Симпсон (1948) и И.В. Волвенко (2018) подразумевают формирование адаптивных зон для таксонов и экологических групп любого ранга, что дает собственно экологическое основание для иерархической классификации растительности. В этом случае адаптивная зона высшего таксона будет показывать распространение сообществ соответствующего ему синтаксона. Например, синтаксоны класса растительности Zosteretea будут выделены в границах адаптивных зон представителей семейства Zosteraceae (т.е. преимущественно на рыхлых грунтах мелководий, в условиях умеренной или низкой гидродинамической нагрузки), синтаксоны выделенного класса Phaeophycetea – в границах адаптивных зон бурых водорослей (соответственно, от мелководий до максимальных глубин формирования сублиторальной растительности, на твердых грунтах, в условиях сильной, либо умеренной гидродинамической нагрузки) и т.д. Описания их местообитаний в этом случае будут представлять собой характеристики экологических условий формирования соответствующих адаптивных зон. При такой логике выстраивания иерархической системы растительных сообществ доминантные виды синтаксонов будут их диагностическими видами.

Описываемые морские сообщества хорошо классифицируются, их синтаксономия близка к естественной классификации, а объем предлагаемых синтаксонов велик. Поскольку ассоциации рассматриваются как элементарные петерсеновские сообщества (Волвенко, 2018), то каждая из них выделена по главному доминанту группы слагающих ее фитоценозов. Высшие синтаксоны диагностируются, если в качестве главного доминанта фитоценоза обнаруживается любой из диагностических видов подчиненных синтаксонов. Множество диагностических видов высших синтаксонов отражает множество их ассоциаций, поименованных по каждому из этих видов. Применение принципа редукционизма (Миркин, Наумова, 2012) позволяет сделать продромус максимально компактным, а избыточные и неоднозначные классификационные построения исключаются. Такой подход на основе модели элементарного петерсеновского сообщества дает решение имеющейся проблемы идентификации синтаксонов (Разумовский, 2011), обеспечивая уверенное опознание сообществ в природе: даже провизорно выделенные синтаксоны имеют однозначный смысл и объем. Ниже в качестве примере приведен сокращенный фрагмент продромуса с частичным описанием синтаксономии класса Phaeophycetea.

Код: PHA

Класс: Phaeophycetea nom. prov.

Характеристика: Морские сообщества литоральных и сублиторальных макроводорослей класса Phaeophyceae умеренных вод приазиатской части Тихого океана.

Диагностические виды: все виды, формирующие элементарные петерсеновские сообщества бурых водорослей.

Местообитания: Литораль и сублитораль до глубины 25 м на твердых грунтах при уклоне дна от незаметного до отвесного, преимущественно в условиях сильной и умеренной гидродинамической нагрузки у открытых берегов и во внешних частях бухт и заливов, преимущественно в олигосапробных условиях.

Распространение: В регионе – Тихий океан и все моря Дальнего Востока России (Скарлато и др., 1967; Возжинская, Блинова, 1970; Перестенко, 1980, 1997; Толстикова, 1980; Петров, Поздеев, 1992; Клочкова, 1996; Галышева, 2004; Евсеева, 2007; Калита, Скрипцова, 2014; Дуленин, 2021, 2023, 2024б). Сообщества морских бурых макроводорослей распространены от арктических до тропических морей по всему миру (Encyclopedia …, 2023).

Примечания: Класс выделен по собственным и литературным данным (см. выше).

 

Код: PHA-01

Порядок: Phaeophycetalia mesoalgosae nom. prov.

Характеристика: Морские сообщества сублиторальных макроводорослей класса Phaeophyceae II яруса растительности умеренных вод приазиатской части Тихого океана.

Диагностические виды: Chorda asiatica, Chordaria flagelliformis, Dictyosiphon foeniculaceus, Ectocarpus siliculosus, Punctaria plantaginea, Scytosiphon lomentaria.

Местообитания: Cублитораль на глубинах до 16 м, на твердых грунтах.

Распространение: Японское, Охотское, Берингово моря, Тихий океан (Скарлато и др., 1967; Возжинская, Блинова, 1970; Перестенко, 1980, 1997; Толстикова, 1980; Петров, Поздеев, 1992; Клочкова, 1996; Галышева, 2004; Евсеева, 2007; Калита, Скрипцова, 2014).

Примечания: Порядок выделен по литературным данным (см. выше).

 

Код: PHA-01A

Союз: Chordion nom. prov.

Характеристика: Морские сообщества макроводорослей семейства Chordaceae Dumortier 1822 умеренных вод приазиатской части Тихого океана.

Диагностические виды: Chorda asiatica

Местообитания: Японское море: залив Петра Великого (Перестенко, 1980) и Татарский пролив (Клочкова, 1996), Берингово море (Толстикова, 1980). Учитывая распространение союза на крайнем севере и крайнем юге российского Дальнего Востока, вероятно его распространение также у Курильских островов.

Распространение: соответствует таковой у порядка.

Примечания: Союз выделен по литературным данным (см. выше).

 

Код: PHA-01A01

Ассоциация: Chordetum asiaticae nom. prov.

Характеристика: Морские сублиторальные сообщества макроводорослей с доминированием Chorda asiatica дальневосточных морей России.

Местообитания: Сублитораль, на твердых грунтах, в олигосапробных условиях, при нормальной морской солености.

Распространение: Японское, Охотское и Берингово моря.

Примечания: Ассоциация выделена по литературным данным (Перестенко, 1980; Толстикова, 1980; Клочкова, 1996; Клочкова и др., 2009а).

 

Предложенный продромус содержит характеристики 5 классов, 9 порядков, 31 союза и 67 ассоциаций (табл. 9). Географическое распределение ассоциаций в пределах выделенных районов было показано выше на рис. 13.

 

Таблица 9. Количество синтаксонов растительности сублиторали дальневосточных морей России (из: Дуленин, 2024а)

Table 9. Number of syntaxa of the sublittoral vegetation of the Far Eastern seas of Russia
(from: Dulenin, 2024а)

 

Применение концепции адаптивной зоны к классификации сублиторальной растительности позволило, во-первых, выделить из разнообразных описаний растительности, выполненных разными авторами, виды, формирующие элементарные петерсеновские сообщества, приведя эти описания к «общему знаменателю», и во-вторых, получить сравнимые, воспроизводимые и опознаваемые характеристики донной растительности разных районов, независимо от того, были они выполнены по литературным данным либо по гидроботаническим описаниям. Концепция позволяет однозначно выделять сообщества даже при минимуме данных. Выработанная методика пригодна не только для Дальнего Востока России, но и для всех морских акваторий умеренных и высоких широт при условии выраженного доминирования в них отдельных видов, таксономических или экологических групп растительности, т.е. при условии выявления их адаптивных зон.

Некоторые практические следствия применения концепции адаптивной зоны. Концепция адаптивной зоны позволяет решить задачу прямого пересчета характеристик сообществ в величину промыслового запаса, что соответствует общим целям фитоценологических исследований по рациональному управлению растительными ресурсами (Шенников, 1964; Быков, 1978). Площадь, занятая ассоциацией вида, равна площади его промысловых поселений, а биомасса главного доминанта равна его запасу. Величины промысловых запасов макрофитов модельных районов (табл. 10), оцененных общепринятыми методами (Ресурсы …, 2020) и с использованием концепции адаптивной зоны близки и не имеют статистически значимых различий (тест Колмогорова-Смирнова, р=1 для южного и р=0,99 и северного модельных районов). Единственный вид, который осваивается промыслом в модельных районах, – Saccharina japonica (300–500 т ежегодно).

 

Таблица 10. Сравнение объема ресурсов модельных районов, оцененных разными методами

Table 10. Comparison of the resources volume in model areas estimated by different methods

Практический смысл описания сообществ донной морской растительности на основании концепции адаптивной зоны состоит в том, что эти описания могут быть напрямую использованы для оценки площади поселений и объема ресурсов макрофитов. Это придает ресурсным исследованиям естественный экологический смысл.

Наращиванию объемов добычи макрофитов препятствует отсутствие дешевых и высокопроизводительных орудий, обеспечивающих селективный промысел. На Дальнем Востоке России перспективно использование салазочных гребенок. Использование гребенок запрещено[1]. Однако в 2000-х годах опыт работы одного из предприятий показал, что салазочная гребенка в сочетании с эхолокацией обеспечивает селективное изъятие главного доминанта – сахарины японской – в пределах адаптивной зоны этого вида и стабильное восстановление его количественных показателей на следующий год. Целесообразно включение гребенок с описанными в работе характеристиками в список разрешенных орудий промысла (Дуленин, 2017).

 


[1] Приказ № 285 от 06 мая 2022 г. «Об утверждении правил рыболовства для Дальневосточного рыбохозяйственного бассейна // М.: Минсельхоз РФ, 2022. П. 32.15. С. 37.

 

В северном модельном районе участки растительности служат естественными нерестилищами тихоокеанской сельди Clupea pallasii Cuvier et Valenciennes, 1847 (Тюрнин, 1967; Пономарев, 2012), образуя с нею консортивную связь. После нереста сельди 77% биомассы водорослевого пояса приходится на отложенную икру. Таким образом, внутри пояса макрофитов формируется сезонная адаптивная зона второго порядка, которая является важнейшим элементом структуры общей адаптивной зоны пояса растительности. Количественные и пространственные закономерности распределения обыкрения повторяют общие закономерности распределения пояса макрофитов района (Дуленин, Диденко, 2021). Характеристики этой связи использованы для рационализации учетных работ на нерестилищах сельди (Дуленин и др., 2023). В северных районах Охотского моря имеются возможности развития промысла водорослей с отложенной на них икрой сельди, востребованных на внешнем и российском рынке. Однако в соответствии с правилами рыболовства (Правила …, 2022)[2], запрещается добыча «водорослей и морских трав, на которые отложена икра сельди – повсеместно». Запрет был введен в годы депрессивного состояния охотской сельди (Тюрнин, 1980) для обеспечения ее воспроизводства. В настоящее же время запасы сельди находятся на исторически максимальном уровне (Дуленин, Диденко, 2021; Панфилов, Смирнов, 2022). Объемы добычи обыкренных водорослей могли бы составить сотни тонн. Для этого необходимо исключение запрета на добычу обыкренных водорослей из Правил рыболовства (Дуленин, 2016б).


[2] Приказ № 285 от 06 мая 2022 г. «Об утверждении правил рыболовства для Дальневосточного рыбохозяйственного бассейна // М.: Минсельхоз РФ, 2022. П. 2.6. С. 110.

 

Основным фактором, сдерживающим развитие промысла дикорастущих макрофитов, является их искусственное выращивание. По состоянию на 2022 г., общий объем аквакультуры водорослей в мире составил около 35 млн т, из них в материковом Китае – около 21 млн т (Состояние …, 2022). Между тем, в XIX в. и вплоть до 30-х годов XX в. добываемую на Дальнем Востоке морскую капусту вывозили в Китай (Зинова, 1940; Жариков, 2001). В настоящее время хорошо известен высокий спрос китайских потребителей на пищевые продукты из натуральных, «диких» водных биологических ресурсов. В связи с этим, налаживание экспорта водорослевой продукции в КНР представляется одним из наиболее перспективных путей стимулирования добычи макрофитов на Дальнем Востоке России (Дуленин, 2025а).

Вычисление общей величины удельного промыслового запаса сложных адаптивных зон модельных районов и типизация побережий позволяет выполнить оценку промысловых ресурсов всего Дальнего Востока. Для южного модельного района удельный промысловый запас равен 0,5 млн т на 1000 км побережья при протяженности южных районов 3,9 тыс. км, а для северного – 0,2 млн т на 1000 км при протяженности северных районов 8 тыс. км. Общий объем ресурсов макрофитов морей Дальнего Востока оценен в 3,6 млн т (с Eualaria fistulosa, не включенной в расчет по удельному промысловому запасу – 15,6 млн т), что несколько выше прежних оценок (Ресурсы …, 2020) и много выше оценок по данным, полученных в текущем столетии (Евсеева и др., 2024). Суммарная оценка возможного вылова – 360 тыс. т (с Eualaria fistulosa – 1,56 млн т).

В итоге все полученные в работе результаты позволяют дать комплексные экосистемные характеристики сложных адаптивных зон модельных районов, которые представляют значительную практическую и теоретическую ценность. По отдельности общие параметры сложных адаптивных зон показаны и обсуждены выше. Они обобщены в таблице 11. Большее богатство и разнородность сложной адаптивной зоны южного модельного района по сравнению с северным закономерна и очевидно имеет характер общего правила с некоторыми исключениями: растительность в низкобореальных районах богаче и разнороднее, чем в высокобореальных. Полученные количественные характеристики адаптивных зон применимы для решения прикладных экологических задач, природоохранных мероприятий, организации рациональной эксплуатации макрофитов и планирования гидробиологических исследований (Дуленин, 2024а).

 

Таблица 11. Общие экосистемные параметры сложных адаптивных зон поясов
сублиторальной растительности модельных районов

Table 11. General ecosystem parameters of complex adaptive zones
of sublittoral vegetation belts in model regions

 

Заключение

Итак, применение концепции адаптивной зоны к изучению растительного покрова сублиторали модельных районов и морей Дальнего Востока России дало ряд важных практических и теоретических результатов, последовательно вытекающих один из другого:

а) На основе принципов использованной концепции разработан и апробирован комплекс методик, позволяющих однозначно и независимо от мнения исследователя опознавать и описывать сублиторальные растительные сообщества непосредственно во время гидробиологических исследований. Благодаря применению современных аппаратных и программных средств объективного контроля (телеуправляемых необитаемых подводных и беспилотных летательных аппаратов, геоинформационных систем) они обеспечивают максимальную степень проверяемости, воспроизводимости и документирования результатов.

б) На основе первичных гидроботанических описаний, полученных во время гидробиологических съемок, выполнены единообразные сравнимые описания сублиторальных растительных ассоциаций модельных районов: северо-западных побережий Японского и Охотского морей, снабженные максимально полными статистическими характеристиками их структуры, обилия и пространственного распределения. Они пригодны для решения как теоретических (выявление характеристик сообществ макрофитов), так и практических (оценка воздействия на окружающую среду, природоохранные мероприятия, рациональное использование ресурсов) задач.

в) Анализ полученных статистических данных выявил основные характеристики структуры сублиторальных ассоциаций растительности модельных районов. Установлено, что они представляют собой элементарные петерсеновские сообщества: наибольшую долю обилия (биомассы или проективного покрытия дна) в них формирует главный доминант, для которого на участке формирования фитоценоза имеются условия адаптивной зоны, а присутствие остальных видов статистически случайно.

г) Концепция адаптивной зоны объясняет возникновение доминирования в растительном сообществе: на каждом участке имеется единственный вид, который более других видов приспособлен к комплексу абиотических и биотических условий данного участка и потому захватывает наибольшую долю площади дна и формирует наибольшие биомассы.

д) Установлено, что смена адаптивных зон обусловливает видимую картину вертикальных и горизонтальных фитоценотических границ, наличие количественных градиентов в структуре растительности, смену ее ценотически однородных поясов и локальных фитоценозов.

е) Решена принципиальная проблема сравнения описаний растительности, выполненных на основании различных методических подходов. Для этого предложено при сопоставлении разнородных количественных или словесных характеристик растительности различных районов, выполненных разными авторами, выявлять в каждом описании единственный вид растительности, преобладающий по показателям обилия. Благодаря этому выработан единый язык сравнения разнообразных описаний, дающий возможность инвентаризации морской растительности любых районов с выраженным доминированием.

ж) Составлены инвентаризационные таблицы со списками доминирующих видов сублиторальной растительности, для которых в морях Дальнего Востока России выявлены адаптивные зоны. Таблицы позволили проанализировать общие инфраценотические закономерности распределения растительности по районам, основным систематическим группам и ярусам.

з) Построена максимально простая и близкая к естественной система синтаксонов сублиторальной растительности морей Дальнего Востока России, легко опознаваемых в полевых условиях. Она основана на том принципе, что адаптивные зоны формируются не только для видов, но и для высших таксонов либо экологических групп макрофитов. Предложенная система может быть дополнена при проведении дальнейших исследований.

и) Составлен продромус растительности дальневосточных морей России. Его можно использовать в качестве полевого инструмента для опознания синтаксонов разного ранга и как основу для дальнейшей инвентаризации дальневосточной морской растительности. Его можно применить и в качестве основы для составления продромусов соседних регионов.

к) Концепция адаптивной зоны использована для оценки промысловых запасов макрофитов модельных районов. Ее использование придает понятный экологический и практический смысл процедурам оценки состояния ресурсов: поскольку в пределах адаптивной зоны вид количественно преобладает на участке, это означает формирование удобных для промыслового освоения поселений. Промысловая разведка представляет собой поиск и инвентаризацию адаптивных зон промысловых макрофитов.

л) Пояс донной растительности, будучи «экосистемным инженером», сам создает условия экологических оптимумов и адаптивных зон второго порядка для организмов-консортов на различных стадиях их жизненного цикла (в северном модельном районе – для сельди), определяя общие закономерности их распределения.

Перечисленные пункты демонстрируют, что использование концепции адаптивной зоны для изучения донной морской растительности показало ее универсальную применимость: от совершенствования методик гидробиологических исследований и оценки ресурсов до инвентаризации растительности по литературным данным.

Одинаково результативное применение концепции адаптивной зоны для описания растительности теплоумеренной северо-западной части Японского моря и холодноводной северо-западной части Охотского моря, как и для других дальневосточных морей России, показывает, что выработанные подходы могут быть применены для изучения и инвентаризации донной растительности любых морей с выраженным доминированием донной растительности. Очевидны перспективы этих подходов и для изучения других групп эпибентоса.

 

Благодарности. Автор глубоко благодарен своему учителю, к.б.н. И.С. Гусаровой, которая привила мне интерес к исследованию морской растительности.

Конфликт интересов. Автор является членом Редколлегии журнала "Вопросы современной альгологии". Процесс рецензирования и принятия решения по данной статье был организован независимо от автора.

 

Список литературы

  1. Афанасьев Д.Ф., Рубан Д.А. Актуальные вопросы эколого-флористической классификации и происхождения макрофитобентоса Чёрного моря // Вопр. соврем. альгологии. Бюллетень. 2013. С. 25–31.
  2. Баканов А.И. Количественная оценка доминирования в экологических сообществах // Количественные методы экологии и гидробиологии (сб. науч. трудов, посвящ. памяти А.И. Баканова) / Отв. ред. чл.-корр. РАН Г.С. Розенберг. – Тольятти: СамНЦ РАН, 2005. – С. 37–67.
  3. Блинова Е.И. Водоросли-макрофиты и травы дальневосточных морей России (флора, распространение, биология, запасы, марикультура). – М.: Изд-во ВНИРО, 2014. – 239 с.
  4. Блинова Е.И. Основные водоросли северо-восточной части Охотского моря (распределение, экология, фитомасса) // Раст. рес. 1971. Т.7, № 2. С. 252–259.
  5. Броцкая В.А., Зенкевич Л.А. Количественный учет фауны Белого моря // Тр. ВНИРО. 1939. Т.4. С. 3–150.
  6. Бывалина Т.П., Клочкова Н.Г., Фадеев В.И. Макрофитобентос сублиторали западного Сахалина // Бентос и условия его существования на шельфовых зонах Сахалина. – Владивосток: ДВНЦ, 1985. – С. 42–63.
  7. Быков Б.А. Геоботаника: учебное пособие. – Алма-Ата: Наука КазССР, 1978. – 278 с.
  8. Василевич В.И. Фитоценотическая замещаемость видов и классификация растительности // Материалы I (VII) Международной конференции по водным макрофитам ГИДРОБОТАНИКА 2010. – Борок, 2010. – С. 5–9.
  9. Виноградова К.Л. Определитель водорослей дальневосточных морей СССР. Зеленые водоросли. – Л.: Наука, 1979. – 148 с.
  10. Возжинская В.Б., Блинова Е.И. Некоторые материалы по распределению и биологическим особенностям водорослей западной Камчатки // Тр. ИОАН. 1970. Т. 88. С. 298–307.
  11. Волвенко И.В. Адаптивная зона, петерсеновские сообщества, ареал и экологическая ниша. Сообщение 1. Определения и соотношение понятий // Изв. ТИНРО. 2018. Т. 195. С. 3–27. DOI: https://doi.org/10.26428/1606-9919-2018-195-3-27
  12. Галышева Ю.А. Сообщества макробентоса сублиторали залива Восток Японского моря в условиях антропогенного воздействия // Биол. моря. 2004. Т. 30, № 6. С. 423–431.
  13. Голиков А.Н., Скарлато О.А., Табунков В.Д. Некоторые биоценозы верхних отделов шельфа южного Сахалина и их распределение // Биоценозы и фауна шельфа южного Сахалина. – Л.: Наука, 1985. – С. 4–68.
  14. Гусарова И.С. Макрофитобентос сублиторальной зоны островов Итуруп, Уруп и Симушир (Большая Курильская гряда): автореф. … дис. канд. биол. наук. – Л., 1975. – 23 с.
  15. Гусарова И.С., Суховеева М.В., Жмакин А.Ф. Водоросли-макрофиты // Гидрометеорология и гидрохимия морей. Т. IX: Охотское море. Вып. 1. Гидрометеорологические условия. – СПб.: Гидрометеоиздат, 1993. – С. 145–154.
  16. Дуленин А.А. Распределение макрофитобентоса в условиях сублиторали северо-западной части Татарского пролива: автореф. дис. … канд. биол. наук. Владивосток, 2008. – 20 с.
  17. Дуленин А.А. Распределение сублиторальной растительности материкового побережья Охотского моря (в пределах Хабаровского края) // Изв. ТИНРО. 2015. Т. 180. С. 107–127.
  18. Дуленин А.А. О применимости визуальных наблюдений для оценки обилия макрофитов на примере сахарины японской северо-западной части Татарского пролива // Природные ресурсы, их современное состояние, охрана, промысловое и техническое использование. Мат-лы VII Всеросс. науч.-практич. конф. с междунар. участием. Ч. 1. – Петропавловск-Камчатский, 2016а. – С. 80–84.
  19. Дуленин А.А. Оценка промысловых ресурсов и возможностей эксплуатации водорослевого пояса у материкового побережья Охотского моря в пределах Хабаровского края // Вестн. КамчатГТУ. 2016б. № 37. С. 39–49.
  20. Дуленин А.А. Положительный опыт использования салазочной водорослевой гребенки на промысле сахарины японской в северо-западной части Татарского пролива // Природные ресурсы, их современное состояние, охрана, промысловое и техническое использование. Мат-лы VIII Всеросс. науч.-практич. конф., посвящ. 75-летию рыбохозяйств. образования на Камчатке. Ч. I. – Петропавловск-Камчатский: КамчатГТУ, 2017. – С. 72–76.
  21. Дуленин А.А. Распределение видов-доминантов макрофитов по глубине в северо-западной части Татарского пролива // Биол. моря. 2019. Т. 45, № 2. С. 97–107.
  22. Дуленин А.А. Результаты параллельных независимых визуальных оценок проективного покрытия дна при проведении учетной водорослевой съемки // Изв. ТИНРО. 2020а. Т.200, вып. 3. С. 747–766. https://doi.org/10.26428/1606-9919-2020-200-747-766
  23. Дуленин А.А. Оптимальные способы выделения доминантов подводной растительности на примере северо-западной части Татарского пролива // Изв. ТИНРО. 2020б. Т. 200, вып. 3. С. 767–788. https://doi.org/10.26428/1606-9919-2020-200-767-788
  24. Дуленин А.А. О выделении ассоциаций морских донных макрофитов северо-западной части Татарского пролива // Вопр. соврем. альгологии. 2021. № 3 (27). С. 1–17. DOI – https://doi.org/10.33624/2311-0147-2021-3(27)-1-17
  25. Дуленин А.А. Характеристика сублиторальной растительности северо-западной части Охотского моря на основании концепции адаптивной зоны // Изв. ТИНРО. 2023. Т. 203, вып. 4. С. 822–851. DOI: https://doi.org/10.26428/1606-9919-2023-203-822-851  EDN: DYQMYG
  26. Дуленин А.А. Систематизация структуры сублиторальной растительности дальневосточных морей России. Дисс. … докт. биол. наук. М: ВНИРО, 2024а. – 420 с.
  27. Дуленин А.А. Характеристика сублиторальной растительности у северо-западного побережья Японского моря на основании концепции адаптивной зоны // Изв. ТИНРО. 2024б. Т. 204, вып. 3. С. 509–547. DOI: https://doi.org/10.26428/1606-9919-2024-204-509-547 EDN: PTPBAS
  28. Дуленин А.А., Гусарова И.С. Широтные изменения состава и структуры растительности в северо-западной части Татарского пролива // Биол. моря. 2016. Т. 42, № 4. С. 272–279.
  29. Дуленин А. А., Диденко Д. С. Количественные закономерности распределения обыкрения на естественных нерестилищах охотской сельди // Тр. ВНИРО. 2021. №4, Т. 186. С. 1–16. DOI: htpps://doi.org/10.36038/2307-3497-2021-№4(186)-1-16 
  30. Дуленин А.А., Дуленина П.А., Коцюк Д.В., Свиридов В.В. Опыт и перспективы использования малых беспилотных летательных аппаратов в морских прибрежных биологических исследованиях // Труды ВНИРО. 2021. №3 (185). С. 134–151. DOI:  https://doi.org/10.36038/2307-3497-2021-185-134-151
  31. Дуленин А.А., Кудревский О.А. Использование легкого телеуправляемого необитаемого подводного аппарата для морских прибрежных гидробиологических исследований // Вестн. КамчатГТУ, 2019. Вып. 48. С. 6–18. DOI: 10.17217/2079-0333-2019-48-6-17
  32. Дуленин А.А., Харитонов А.В., Свиридов В.В. Выбор оптимального способа оценки запаса сахарины японской в северо-западной части Татарского пролива // Изв. ТИНРО. 2022. Т. 202, вып. 2. С. 450–465.
  33. Дуленин А.А., Дуленина П.А., Свиридов В.В. Сравнение двух разных методов расчета популяционной плодовитости охотской сельди по результатам стандартной икорной съемки // Изв. ТИНРО. 2023. Том 203, вып. 1. С. 234-248. DOI: 10.26428/1606-9919-2023-203-234-248
  34. Евсеева Н.В. Макрофитобентос прибрежной зоны южных Курильских островов // Тр. СахНИРО. 2007. Т.9. С. 125–145.
  35. Евсеева Н. В., Матюшкин В. Б., Березина М. О.   Мельник Р. А., Левицкий А. Л., Власов Д. О., Саенко Е. М., Жильцова Л. В., Белый М. Н., Дуленин А. А., Прохорова Н. Ю., Сологуб Д. О., Ботнев Д. А.  Состояние ресурсов и промысел водорослей и морских трав в морях России в 2000–2020 гг. // Тр. ВНИРО. 2024. Т.195. С. 232–248. https://doi.org/10.36038/2307-3497-2024-195-232-248
  36. ЕСИМО – Единая государственная система информации об обстановке в Мировом океане. 2025. URL: http://portal.esimo.ru/portal. (дата обращения 27.01.2024).
  37. Жариков В.В. История промысла ламинарии (морской капусты) у берегов Приморья // Вестник ДВО РАН. 2001. №4. С. 125–138.
  38. Зинова Е.С. Водоросли Японского моря. Красные водоросли (Rhodophyceae) // Тр. Тихоокеанского комитета. – М.–Л., 1940. Т. 5. 164 с.
  39. Зуенко Ю.И., Асеева Н.Л., Глебова С.Ю., Гостренко Л.М., Дубинина А.Ю., Дулепова Е.П., Золотов А.О., Лобода С.В., Лысенко А.В., Матвеев В.И., Муктепавел Л.С., Овсянников Е.Е., Фигуркин А.Л., Шатилина Т.А. Современные изменения в экосистеме Охотского моря (2008–2018 гг.) // Изв. ТИНРО. 2019. Т.197. С. 35–61. DOI: https://doi.org/10.26428/1606-9919-2019-197-35-61
  40. Изучение экосистем рыбохозяйственных водоемов, сбор и обработка данных о водных биологических ресурсах, техника и технология их добычи и переработки / сост. Е.И. Блинова, О.Ю. Вилкова, Д.М. Милютин и др. – М.: ВНИРО, 2005. Вып. 3: Методы ландшафтных исследований и оценки запасов донных беспозвоночных и водорослей морской прибрежной зоны. – 135 с.
  41. Калита Т.Л., Скрипцова А.В. Сублиторальные сообщества макрофитов Уссурийского и Амурского заливов (Японское море) в современных условиях // Биология моря. 2014. Т. 40, № 6. С. 427–434.
  42. Кафанов А.И., Жуков В.Е. Прибрежное сообщество водорослей-макрофитов залива Посьета (Японское море): сезонная изменчивость и пространственная структура. – Владивосток: Дальнаука, 1993. – 153 с.
  43. Кафанов А.И., Кудряшов В.А. Морская биогеография. – М.: Наука, 2000. – 176 с.
  44. Клочкова Н.Г. Водоросли-макрофиты дальневосточных морей России: дис. … докт. биол. наук. Петропавловск-Камчатский, 1998. – 277 с.
  45. Клочкова Н.Г. Флора водорослей-макрофитов Татарского пролива и особенности ее формирования. – Владивосток: Дальнаука, 1996. – 291 с.
  46. Клочкова Н.Г., Королева Т.Н., Кусиди А.Э. Атлас водорослей-макрофитов прикамчатских вод. Т. 1. – Петропавловск-Камчатский: КамчатНИРО, 2009а. – 218 с.
  47. Клочкова Н.Г., Королева Т.Н., Кусиди А.Э. Атлас водорослей-макрофитов прикамчатских вод. Т. 2. – Петропавловск-Камчатский: КамчатНИРО, 2009б. – 304 с.
  48. Лоция северо-западного берега Японского моря от реки Туманная до мыса Белкина. – Л.: ГУНИО МО СССР, 1984. – 314 с.
  49. Лоция Татарского пролива, Амурского лимана и пролива Лаперуза. – СПб.: ГУНИО МО РФ, 2003. – С. 10–193.
  50. Миркин Б.М., Наумова Л.Г. Современное состояние основных концепций науки о растительности. – Уфа: АН РБ, Гилем, 2012. – 488 с.
  51. Миркин Б.М., Наумова Л.Г., Соломещ А.И. Современная наука о растительности. – М.: Логос, 2001. – 264 с.
  52. Миркин Б.М., Розенберг Г.С., Наумова Л.Г. Словарь понятий и терминов современной фитоценологии. – М.: Наука, 1989. – 223 с.
  53. Несис К.Н. Общие экологические понятия в приложении к морским сообществам. Сообщество как континуум // Биология океана. В 2-х томах. Т. 2. Биологическая продуктивность океана. – М.: Наука, 1977. – С. 5–13.
  54. Огородников В.С. Особенности распространения и продуктивность фитомассы основных видов бурых водорослей в сублиторали группы островов северной части Курильской гряды // Раст. ресурсы. 2003. Т. 39, вып. 1. С. 12–18.
  55. Панфилов А.М., Смирнов А.А. Промысел, динамика запаса и основные биологические показатели нерестовой охотской сельди на современном этапе // Вопросы рыболовства. 2022. Т. 23, № 2. С. 108–121. DOI: https://doi.org/10.36038/0234-2774-2022-23-2-108-121
  56. Перестенко Л.П. Водоросли залива Петра Великого. – Л.: Наука, 1980. – 232 с.
  57. Перестенко Л.П. Красные водоросли дальневосточных морей России. – СПб: Ольга, 1994. – 331 с.
  58. Перестенко Л.П. Растительность литорали и сублиторали восточной Камчатки // Бот. журн. 1997. Т.82, №2. С. 46–55.
  59. Петров К.М., Поздеев В.Б. Подводные ландшафты и фитобентос у берегов южного Сахалина: Монография. – Владивосток: Изд-во ДВГУ, 1992. – 128 с.
  60. Пономарев С.Д. Развитие и выживаемость охотской сельди в период эмбриогенеза. // Изв. ТИНРО. 2012. Т. 171. С. 85–96.
  61. Разумовский С.М. Закономерности динамики фитоценозов // Труды по экологии и биогеографии (полное собрание сочинений). – М.: КМК, 2011. – С. 50–272.
  62. Ресурсы и рациональное использование морских водорослей и трав дальневосточных морей России / под общ. ред. В.Н. Акулина. – Владивосток, ТИНРО, 2020. – 268 с.
  63. Рупосов В.Л. Методы определения количества экспертов // Вестник ИрГТУ. № 3 (98). 2015. С. 287–292.
  64. Селиванова О.Н. Макрофиты российского шельфа Берингова моря, Командорских островов и юго-Восточной Камчатки: автореф. дисс. докт. биол. наук. – Владивосток, 2004. – 40 с.
  65. Семкин Б.И., Клочкова Н.Г., Гусарова И.С., Горшков М.В. Дискретность и континуальность флор водорослей-макрофитов дальневосточных морей России. I. Общий видовой состав. // Изв. ТИНРО. 2010а. Т. 160. С. 57–70.
  66. Семкин Б.И., Клочкова Н.Г., Гусарова И.С., Горшков М.В. Дискретность и континуальность флор водорослей-макрофитов дальневосточных морей России. II. Зеленые (Chlorophyta), бурые (Phaeophyta), красные (Rhodophyta) // Изв. ТИНРО. 2010б. Т. 162. С. 104–112.
  67. Семкин Б.И., Клочкова Н.Г., Гусарова И.С., Горшков М.В. Дискретность и континуальность флор водорослей-макрофитов дальневосточных морей России. III. Таксономические спектры // Изв. ТИНРО. 2010в. Т. 163. С. 217–227.
  68. Симпсон Д.Г. Темпы и формы эволюции: моногр. – М.: Госиздат, 1948. – 358 с.
  69. Скарлато О.А, Голиков А.Н., Василенко С.В. Цветкова Н.Л., Грузов Е.Н., Несис К.Н. Состав, структура и распределение донных биоценозов в прибрежных водах залива Посьет (Японское море) // Иссл. фауны морей. 1967. Вып. 5 (13). С. 5–61.
  70. Состояние мирового рыболовства и аквакультуры. – Рим: Продовольственная и сельскохозяйственная организация Объединенных Наций, 2022. – С. 44–45.
  71. Суховеева М.В., Подкорытова А.В. Промысловые водоросли и травы морей Дальнего Востока: биология, распространение, запасы, технология переработки. – Владивосток: ТИНРО-центр, 2006. – 243 с.
  72. Терийа Ж.П., Вилнер В., Фернандес-Гонсалес Ф., Бюлтманн Х., Чарни А., Гиганте Д., Муцина Л., Вебер Г. Международный кодекс фитосоциологической номенклатуры. 4-е издание // Растительность России. 2022. №44. С. 3–60. DOI: https://doi.org/10.31111/vegrus/2022.44.3
  73. Толстикова Н.Е. Бентосные макрофиты Анадырского залива Берингова моря: автореф. дисс. … канд. наук. – М.: 1980. – 23 с.
  74. Тюрнин Б.В. К методике оценки запасов охотской сельди // Тр. ВНИРО. 1967. Т.62. С.129–139.
  75. Тюрнин Б.В. О причинах снижения запасов охотской сельди и мерах по их восстановлению// Биол. моря. 1980. Т.2. С.69–74.
  76. Шенников А.П. Введение в геоботанику. – Л.: ЛГУ, 1964. – 445 с.
  77. Шунтов В.П. Биология дальневосточных морей России. Т. 1. – Владивосток: ТИНРО-Центр, 2001. – 580 с.
  78. Blair G.S. Digital twins of the natural environment // Patterns. 2021. V. 2, Is. 10. ID 100359. DOI: https://doi.org/10.1016/j.patter.2021.100359
  79. Encyclopedia of life. URL: https://eol.org/pages/964318 (дата обращения: 12.08.2024)
  80. den Hartog C. Sea-grass communities: structure, distribution and classification // Phytocoenologia. 2016.V.46, Is.4. P. 397–414.
  81. Guiry M.D., Guiry G.M. AlgaeBase. World-wide electronic publication. 2024. National University of Ireland, Galway. Accessible via: http://www.algaebase.org. (дата обращения 27.11.2024)
  82. Hammer Ø. PAST: Paleontological statistics. Version 4.15. Reference manual. – Oslo: Natural History Museum. Univ. of Oslo, 2023. – 310 p.
  83. Layton C., Shelamoff V., Cameron M.J., Tatsumi M., Wright J.T., Johnson C.R. Resilience and stability of kelp forests: The importance of patch dynamics and environment engineer feedbacks // PLoS ONE. 2019. V.14, №1. ID e0210220. https://doi.org/10.1371/journal.pone.0210220
  84. Madsen J.D., Bloomfield J.A. Aquatic vegetation quantification symposium: An overview // Lake Reserv. Manage. V.7. 1993. P.137–140.
  85. Miller R.J., Lafferty K.D., Lamy T., Kui L., Rassweiler A., Reed D.C. Giant kelp, Macrocystis pyrifera, increases faunal diversity through physical engineering // Proc. R. Soc. 2018. V.285 (1874). ID 20172571. http://dx.doi.org/10.1098/rspb.2017.2571
  86. Nativi S., Mazzetti P., Craglia M. Digital Ecosystems for Developing Digital Twins of the Earth: The Destination Earth Case // Remote Sensing. 2021. V. 13, № 11. 25 p. DOI: https://doi.org/10.3390/rs13112119
  87. Popper K. The logic of scientific discovery. – London and New York: Routledge, 2002. – 513 p.
  88. Shelamoff V., Umanzor S., Layton C., Tatsumi M., Cameron M.J., Wright J.T., Johnson C.R. Ecosystem engineering kelp limits recruitment of mussels and microphytobenthic algae // Marine Biology. 2022. V.169. ID 85. https://doi.org/10.1007/s00227-022-04072-5
  89. Taniguti M. Phytosociological study of marine algae in Japan. – Inoue, 1962. – 129 p.
  90. Volvenko I.V. The Adaptive Zone: From Evolutionary Biology to Ecology and Biogeography. Review and a Case Study with Examples for Fisheries Science // Reviews in Fisheries Science & Aquaculture. 2022. V.30, Is.422. P. 520–541. DOI: https://doi.org/10.1080/23308249.2022.2067741

Статья поступила в редакцию 04.12.2024
Статья поступила  после доработки 18.12.2024
Статья принята к публикации 24.12.2024

 

Об авторе

Дуленин Александр Алексеевич – Dulenin Alexander A.

доктор биологических наук
ведущий научный сотрудник, Хабаровский филиал ГНЦ РФ ФГБНУ «Всероссийский научно-исследовательский институт рыбного хозяйства и океанографии» – «ХабаровскНИРО», Хабаровск, Россия (Khabarovsk Branch of VNIRO – "KhabarovskNIRO", Khabarovsk, Russia); РИНЦ SPIN-код: 7102-9750, AuthorID: 1030826.

dulenin@khabarovsk.vniro.ru

Корреспондентский адрес: 680038, Россия, г. Хабаровск, Амурский бульвар, д. 13а, ХабаровскНИРО; тел. (4212)31-54-47.

 

ССЫЛКА:

Дуленин А.А. Структурирование сублиторальной растительности дальневосточных морей России с точки зрения концепции адаптивной зоны // Вопросы современной альгологии. 2024. № 23 (35–36). С. 44–83. URL: http://algology.ru/2235

DOI – https://doi.org/10.33624/2311-0147-2024-2-3(35-36)-44-83; EDN EHJFCV


При перепечатке ссылка на сайт обязательна

Уважаемые коллеги! Если Вы хотите получить версию статьи в формате PDF, пожалуйста, напишите в редакцию, и мы ее вам с удовольствием пришлем бесплатно. 
Адрес - info@algology.ru

 

 

Structuring the sublittoral vegetation of the Russian Far Eastern seas from the perspective of the adaptive zone concept

Alexander A. Dulenin

Khabarovsk Branch of VNIRO – «KhabarovskNIRO» (Khabarovsk, Russia)

An ecologically grounded methodology for identification, description, inventorying, and resource assessment of marine sublittoral vegetation communities is proposed. The sublittoral vegetation belt of Russian Far Eastern seas is formed by a system of adaptive zones of varying ranks, each with a single dominant species accompanied by a statistically random set of other species. Vegetation distribution in specific areas is determined by the geography and geomorphology of their coasts. Any descriptions of plant communities are fundamentally comparable provided that the primary dominant species is identified, for which an adaptive zone is formed within the site. Sixty-seven plant associations have been distinguished in the region, most of which can be unambiguously identified visually. The number of associations decreases from southern to northern regions. The nature of their distribution should be described as the cenotic aspect of the Humboldt-Wallace law. The resources of individual species are associated with their adaptive zones, and the area of their commercial beds equals the area of these zones. Far Eastern macrophyte resources are estimated at 3.6 million tons.

Key words: vegetation structure; sublittoral; Russian Far Eastern Seas

 

References

  1. Afanasyev D.F., Ruban D.A. Urgent questions of the ecological-floristic classification and origin of the Black Sea macrophytobenthos. Voprosy sovremennoi algologii (Issues of modern algology). 2012. № 2 (2). URL: http://algology.ru/115 (In Russ.)
  2. Bakanov A.I. Quantitative assessment of dominance in ecological communities. In: Quantitative methods of ecology and hydrobiology (collection of scientific papers, dedicated to in memory of A.I. Bakanov). Ed. G.S. Rosenberga. SamNZ RAN, Toliatti, 2005. P. 37–67. (In Russ.)
  3. Blair G.S. Digital twins of the natural environment. Patterns. 2021. V.2, Is. ID 100359. DOI: https://doi.org/10.1016/j.patter.2021.100359
  4. Blinova E.I. Seaweeds and seagrasses of the Far East of Russia (flora, distribution, biology, reserves, mariculture). M.: Izd-vo VNIRO, 2014. 239 p. (in Russ.)
  5. Blinova E.I. Main algae of the north-eastern part of the Sea of Okhotsk (distribution, ecology, phytomass [Osnovnyye vodorosli severo-vostochnoy chasti Okhotskogo morya (raspredeleniye, ekologiya, fitomassa)]. Rastitel'nye rezervy [Plant reserves]. 1971. V.7(2). P. 252–259. (In Russ.)
  6. Brotskaya V.A., Zenkevich L.A. Quantitative census of the White Sea fauna. Trudi VNIRO. 1939. V.4. P. 3–150. (In Russ.)
  7. Byvalina T.P., Klochkova N.G., Fadeev V.I. Macrophytobenthos of the sublittoral zone of western Sakhalin. In: Benthos and the conditions of its existence on the Sakhalin shelf zones. DVNC, Vladivostok, 1985. P. 42–63. (In Russ.)
  8. Bykov B.A. Geobotany. Nauka KazSSR, Alma-Ata, 1978. 278 p. (In Russ.)
  9. den Hartog C. Sea-grass communities: structure, distribution and classification. Phytocoenologia. 2016.V.46, Is.4. P. 397–414. DOI: 10.1127/phyto/2016/0099
  10. Dulenin A.A. Distribution of macrophytobenthos in the sublittoral conditions of the northwestern part of the Tatar Strait: PhD Dissertation abstract. Vladivostok, 2008. 20 p. (In Russ.)
  11. Dulenin A.A. Distribution of sublittoral vegetation on the mainland coast of the Sea of Okhotsk (within Khabarovsk Krai). Izvestiya TINRO. 2015. V.180. P. 107–127. (In Russ.)
  12. Dulenin A.A. On the applicability of visual observations for assessing the abundance of macrophytes using the example of Saccharina japonica of the northwestern part of the Tatar Strait. Natural resources, their current state, protection, commercial and technical use: Proceedings of VII All-Russ. Sci. and Pract. Conf. with int. participation. V.1. Petropavlovsk-Kamchatskiy, 2016a. P. 80–84. (In Russ.)
  13. Dulenin A.A. Assessment of fishery resources and possibilities of exploitation of the algal belt along the mainland coast of the Okhotsk Sea within the Khabarovsk Krai. Vestnik KamchatGTU. 2016b. V.37. P. 39–49. (In Russ.)
  14. Dulenin A.A. Positive experience with the use of a sled algal comb in the Japanese saccharina fishery in the northwestern part of the Tatar Strait. Natural resources, their current state, protection, commercial and technical use. Proceedings of VIII All-Russ. Sci. and Pract. Conf., dedicated to the 75th anniv. of fisheries education in Kamchatka. V.I. KamchatGTU, Petropavlovsk-Kamchatskiy, 2017. P. 72–76. (In Russ.)
  15. Dulenin A.A. The depth distribution of dominant species of macrophytes in the Northwestern Part of the Tatar Strait. Russian Journal of Marine Biology. 2019. V. 45, № 2. P. 96–105. DOI: https://doi.org/10.1134/S1063074019020032
  16. Dulenin A.A. Results of parallel independent visual evaluation of projective cover of the bottom during macrophyte assesment survey. Izvestiya TINRO. 2020. V. 200 (3). P. 747–766. https://doi.org/10.26428/1606-9919-2020-200-747-766 (In Russ.)
  17. Dulenin A.A. Optimal methods for identification of dominants for submerged aquatic vegetation on a case of the northwestern Tatar Strait. Izvestiya TINRO. 2020. V. 200 (3). Pp. 767–788. https://doi.org/10.26428/1606-9919-2020-200-767-788 (In Russ.)
  18. Dulenin A.A. On the identification of marine bottom macrophyte associations in the north-western Tatar Strait. Voprosy sovremennoi algologii (Issues of modern algology). 2021. V. 3 (27). P. 1–17. URL: http://algology.ru/1664. DOI – https://doi.org/10.33624/2311-0147-2021-3(27)-1–17 (In Russ.)
  19. Dulenin A.A. Characteristics of sublittoral vegetation in the northwestern Okhotsk Sea based on the concept of adaptive zone. Izvestiya TINRO. 2023. V.203 (4). P. 822–851. DOI: https://doi.org/10.26428/1606-9919-2023-203-822-851. EDN: DYQMYG (In Russ.)
  20. Dulenin A.A. Systematization of the structure of sublittoral vegetation of the Far Eastern seas of Russia: Dr. Sci. Thesis. Moscow, VNIRO, 2024a. 420 p. (In Russ.)
  21. Dulenin A.A. Characteristics of sublittoral vegetation at the northwestern coast of the Japan Sea based on the concept of adaptive zone. Izvestiya TINRO. 2024b. V.204 (3). P. 509–547. DOI: https://doi.org/10.26428/1606-9919-2024-204-509-547. EDN: PTPBAS. (In Russ.)
  22. Dulenin A.A. Gusarova I.S. Latitudinal variations in the composition and structure of vegetation in the northwestern Tatar Strait. Russian Journal of Marine Biology. 2016. V.42 (4). P. 299–307. DOI: https://doi.org/10.1134/S1063074016040040
  23. Dulenin A.A., Didenko D.S. Quantitative regularities of roe distribution on natural spawning grounds of Okhotsk herring within the macrophyte belt. Trudi VNIRO. 2021. V. 186, №4. P. 1–16. DOI: https://doi.org/10.36038/2307-3497-2021-186-5-20 (In Russ.)
  24. Dulenin A.A., Dulenina P.A., Kotsyuk D.V., Sviridov V.V. Experience and prospects for using small unmanned aerial vehicles in coastal marine biological research. Trudy VNIRO. 2021. V.3 (185). P. 134–151. https://doi.org/10.36038/2307-3497-2021-185-134-151 (In Russ.)
  25. Dulenin A.A., Dulenina P.A., Sviridov V.V. Comparison of two different methods for calculating the population fertility of Okhotsk herring based on the results of a standard caviar survey. Izvestiya TINRO. 2023. V. 203, Is. 1. P. 234–248. DOI: 10.26428/1606-9919-2023-203-234-248 (In Russ.)
  26. Dulenin A.A., Kharitonov A.V., Sviridov V.V. Selection of an Optimum Method for the Assessment of the Saccharina japonica Stock in the Northwestern Tatar Strait. Russian Journal of Marine Biology. 2022. V.48, №7. P. 678–687. https://doi.org/10.1134/S1063074022070045
  27. Dulenin A.A., Kudrevsky O.A. Use of a lightweight remotely operated unmanned underwater vehicle for marine coastal hydrobiological research. Vestnik KamchatGTU. 2019. V.48. P. 6–18. DOI: 10.17217/2079-0333-2019-48-6-17 (In Russ.)
  28. Encyclopedia of life. URL: https://eol.org/pages/964318 (date: 12.08.2024)
  29. ESIMO – Unified state information system on the situation in the World Ocean. 2025. URL: http://portal.esimo.ru/portal (date 27.01.2024)
  30. Evseeva N.V. Macrophytobenthos of the coastal zone of the southern Kuril Islands. Tr. SakhNIRO. 2007. V.9. P. 125–145. (In Russ.)
  31. Evseeva N.V., Matyushkin V.B., Berezina M.O., Melnik R.A., Levitsky A.L., Vlasov D.O., Saenko E.M., Zhiltsova L.V., Belyy M.N., Dulenin A.A., Prokhorova N.Y., Sologub D.O., Botnev D.A. State of resources and fishery of commercial Seaweeds and Seagrasses in the Seas of Russia in 2000–2020. Trudy VNIRO. 2024. V. 195(1). P. 232–248. (In Russ.) DOI: https://doi.org/10.36038/2307-3497-2024-195-232-248
  32. Galysheva Yu.A. Macrobenthos communities of the sublittoral zone of Vostok Bay (Sea of Japan) under anthropogenic impact]. Biologya morya. 2004. V.30 (6). P. 423–431. (In Russ.)
  33. Golikov A.N., Skarlato O.A., Tabunkov V.D. Some biocenoses of the upper parts of the southern Sakhalin shelf and their distribution. In: Biocenoses and fauna of the South Sakhalin shelf. Nauka, Leningrad, 1985. P. 4–68. (In Russ.)
  34. Guiry M.D., Guiry G.M. 2024. AlgaeBase. World-wide electronic publication.  National University of Ireland, Galway. Accessible via: http://www.algaebase.org. (date: 27.11.2024)
  35. Gusarova I.S. Macrophytobenthos of the sublittoral zone of the islands of Iturup, Urup and Simushir (Great Kuril Ridge): PhD Dissertation abstract. Lrningrad, 1975. 23 p. (In Russ.)
  36. Gusarova I.S., Sukhoveyeva M.V., Zhmakin A.F. Algae-macrophytes. In: Hydrometeorology and hydrochemistry of the seas. V.IX. The Sea of Okhotsk. Is.1. Hydrometeorological conditions. Gidrometeoizdat, St.-Petersburg, 1993. P. 145–154. (In Russ.)
  37. Hammer Ø. PAST: Paleontological statistics. Version 4.15. Reference manual. Natural History Museum, Univ. of Oslo, Oslo, 2023. 310 p.
  38. Kalita T.L., Skriptsova A.V. Current status of subtidal macrophyte communities in Ussiriysky and Amursky Bays (Sea of Japan). Russ. J. Mar. Biol. 2014. V. 40 (6). P. 418–425. DOI: https://doi.org/10.1134/S1063074014060157
  39. Kafanov A.I. Zhukov V.E. Coastal community of macrophyte algae in Posyet Bay (Sea of Japan): seasonal variability and spatial structure. Dal'nauka, Vladivostok, 1993. 153 p. (In Russ.)
  40. Kafanov A.I., Kudryashov V.A. Marine biogeography. Nauka, Moscow, 2000. 176 p. (In Russ.)
  41. Klochkova N.G. Macrophyte algae of the Far Eastern seas of Russia: DPhil Thesis. Petropavlovsk-Kamchatskiy, 1998. 277 p. (In Russ.)
  42. Klochkova N.G. Flora of macrophyte algae of the Tatar Strait and conditions of its formation. Vladivostok, Dal'nauka, 1996. 291 p. (In Russ.)
  43. Klochkova N.G., Koroleva T.N., Kusidi A.E. Marine algae of Kamchatka and surrounding areas. V.1. KamchatNIRO, Petropavlovsk-Kamchatskiy, 2009a. 218 p. (In Russ.)
  44. Klochkova N.G., Koroleva T.N., Kusidi A.E. Marine algae of Kamchatka and surrounding areas. V.2. KamchatNIRO, Petropavlovsk-Kamchatskiy, 2009b. 304 p. (In Russ.)
  45. Layton C., Shelamoff V., Cameron M.J., Tatsumi M., Wright J.T., Johnson C.R. Resilience and stability of kelp forests: The importance of patch dynamics and environment engineer feedbacks. PLoS ONE. 2019. V. 14(1). ID e0210220. DOI: https://doi.org/10.1371/journal.pone.0210220
  46. Lotsiya severo-zapadnogo berega Yaponskogo morya ot reki Tumannaya do mysa Belkina. [Pilot chart for the northwestern coast of the Sea of Japan from the Tumannaya River to Cape Belkin]. GUNIO MO SSSR, Leningrad, 1984. 314 p. (In Russ.)
  47. Lotsiya Tatarskogo proliva, Amurskogo limana i proliva Laperuza (Pilot chart of the Tatar Strait, Amur Estuary and La Perouse Strait). GUNIO MO RF, St.-Petersburg, 2003. P. 10–193. (In Russ.)
  48. Madsen J.D., Bloomfield J.A. Aquatic vegetation quantification symposium: An overview. Lake Reserv. Manage. V. 7. 1993. P. 137–140.
  49. Miller R.J., Lafferty K.D., Lamy T., Kui L., Rassweiler A., Reed D.C. Giant kelp, Macrocystis pyrifera, increases faunal diversity through physical engineering. Proc. R. Soc. 2018. B 285. ID 20172571. DOI: http://doi.org/10.1098/rspb.2017.2571
  50. Mirkin B.M., Naumova L.G. Current state of the main concepts of vegetation science. Gilem, Ufa, 2012. 488 p. (In Russ.)
  51. Mirkin B.M., Naumova L.G., Solomeshch A.I. Modern vegetation science. Moscow, Logos, 2001. 264 p. (In Russ.)
  52. Mirkin B.M., Rozenberg G.S., Naumova L.G. Dictionary of concepts and terms of modern phytocenology. Nauka, Moscow, 1989. 223 p. (In Russ.)
  53. Nativi S., Mazzetti P., Craglia M. Digital ecosystems for developing digital twins of the earth: The destination earth case. Remote Sensing. 2021. V.13, №11. ID 2119. DOI: http://doi.org/10.3390/rs13112119
  54. Nesis K.N. General ecological concepts as applied to marine communities. Community as a continuum. In: Ocean biology. Vol. 2. Biological productivity of the ocean. Nauka, Moscow, 1977. P. 5–13. (In Russ.)
  55. Ogorodnikov V.S. Features of distribution and productivity of phytomass of the main brown algae species in the sublittoral of a group of islands in the northern part of the Kuril ridge. Rastitelnye Resursy. 2003. V. 39 (1). P. 12–18. (In Russ.)
  56. Panfilov A.M., Smirnov A.A. Fishing, stock dynamics and basic biological indicators of spawning okhotsk herring at the present stage. Problems of fishiries. 2022. V.23(2). P. 108–121. DOI: https://doi.org/10.36038/0234-2774-2022-23-2-108-121 (In Russ.)
  57. Perestenko L.P. Algae of Peter the Great Bay. Nauka, Leningrad, 1980. 232 p. (In Russ.)
  58. Perestenko L.P. Red algae of the Far Eastern seas of Russia. Olga, St.-Petersburg, 1994. 331 p. (In Russ.)
  59. Perestenko L.P. Vegetation of the littoral and sublittoral of eastern Kamchatka. Botanical Journal. 1997. V.82 (2). P. 46–55. (In Russ.)
  60. Petrov K.M., Pozdeyev V.B. Underwater landscapes and phytobenthos off the coast of southern Sakhalin. DVGU, Vladivostok, 1992. 128 p. (In Russ.)
  61. Ponomarev S.D. Development and survival of Okhotsk herring during embryogenesis. Izvestiya TINRO. 2012. V.171. P. 85–96. (In Russ.)
  62. Popper K. The logic of scientific discovery. Routledge, London and New York, 2002. 513 p.
  63. Razumovsky S.M. Patterns of phytocoenosis dynamics. In: Works on ecology and biogeography. KMK, Moscow, 2011. P. 50–272. (In Russ.)
  64. Resources and rational use of seaweeds and grasses of the Far Eastern seas of Russia. Ed. V.N. Akulin. TINRO, Vladivostok, 2020. 268 p. (In Russ.)
  65. Ruposov V.L. Methods for determining the number of experts. Vestnik IrGTU. 2015. № 3 (98). P. 287–292. (In Russ.)
  66. Shelamoff V., Umanzor S., Layton C., Tatsumi M., Cameron M.J., Wright J.T., Johnson C.R. Ecosystem engineering kelp limits recruitment of mussels and microphytobenthic algae. Marine Biology. 2022. V.169. ID 85. DOI; https://doi.org/10.1007/s00227-022-04072-5
  67. Selivanova O.N. Macrophytes of the Russian shelf of the Bering Sea, the Commander Islands and southeastern Kamchatka: Dr. Sci. Dissertation abstract. Vladivostok, 2004. 40 p. (In Russ.)
  68. Semkin B.I., Klochkova N.G, Gusarova I.S., Gorshkov M.V. Discreteness and continuity of algal macrophyte floras in the Far Eastern seas. I. General species composition. Izvestiya TINRO. 2010a. V.160. P. 57–70. (In Russ.)
  69. Semkin B.I., Klochkova N.G, Gusarova I.S., Gorshkov M.V. Discreteness and continuity of algal macrophyte floras in the Far Eastern seas. II. Green (Chlorophyta), brown (Phaeophyta), red (Rhodophyta). Izvestiya TINRO. 2010b. V.162. P. 104–112. (In Russ.)
  70. Semkin B.I., Klochkova N.G, Gusarova I.S., Gorshkov M.V. Discreteness and continuity of algal macrophyte floras in the Far Eastern seas. III. Taxonomic spectra. Izvestiya TINRO. 2010c. V.163. P. 217–227. (In Russ.)
  71. Simpson G.G. Tempo and Mode in Evolution. Columbia Univ. Press, New York, 1944. 237 p.
  72. Skarlato O.A, Golikov A.N., Vasilenko S.V. Tsvetkova N.L., Gruzov Ye.N., Nesis K.N. Composition, structure and distribution of bottom biocenoses in the coastal waters of Posyet Bay (Sea of Japan). Issl. fauny morey. 1967. V.5 (13). P. 5–61. (In Russ.)
  73. Study of ecosystems of fishery water bodies, collection and processing of data on aquatic biological resources, techniques and technology of their extraction and processing. Eds: E.I. Blinova, O.Yu. Vilkova, D.M. Milyutin. V.3. Methods of landscape studies and assessment of stocks of benthic invertebrates and algae of the coastal zone. VNIRO, Moscow, 2005. 135 p. (In Russ.)
  74. Sukhoveyeva M.V., Podkorytova A.V. Commercial algae and grasses of the Far East seas: biology, distribution, reserves, processing technology. TINRO-Сentr, Vladivostok, 2006. 243 p. (In Russ.)
  75. The State of World Fisheries and Aquaculture. Rome: Food and Agriculture Organization of the United Nations, 2022. P. 44–45.
  76. Theurillat J.-P., Willner W., Fernández-González F., Bültmann H., Čarni A., Gigante D., Mucina L. Weber H. International Code of Phytosociological Nomenclature, Vegetation of Russia, 2022. V.44. P. 3–60. DOI: https://doi.org/10.31111/vegrus/2022.44.3
  77. Tolstikova N.E. Benthic macrophytes of the Anadyr Bay of the Bering Sea: PhD Dissertation abstract. Moscow, 1980. 23 p. (In Russ.)
  78. Tyurin B.V. On the methodology for assessing stocks of Okhotsk herring. Trudi VNIRO. 1967. V. 62. P.129–139. (In Russ.)
  79. Tyurin B.V. On the reasons for the decline in stocks of Okhotsk herring and measures for their restoration. Biol. morya. 1980. V.2. P.69–74. (In Russ.)
  80. Shennikov A.P. Introduction to Geobotany. Leningrad, LGU, 1964. 445 p. (in Russ.)
  81. Shuntov V.P. Biology of the Far Eastern seas of Russia. T.1. TINRO-Centr, Vladivostok, 2001. 580 p. (In Russ.)
  82. Taniguti M. Phytosociological study of marine algae in Japan. Inoue, 1962. 129 p.
  83. Vasilevich V.I. Phytocenotic substitution of species and classification of vegetation. Proceedings of I (VII) Intern. Conf. on Aquatic Macrophytes GIDROBOTANIKA 2010. Borok, 2010. P. 5–9. (In Russ.)
  84. Vinogradova K.L. Identification of algae of the Far Eastern seas of the USSR. Green algae. Nauka, Leningrad, 1979. 148 p. (In Russ.)
  85. Volvenko I.V. Adaptive zone, Petersen-type communities, geographical range and ecological niche. Report 1. Defnitions and relations of the concepts. Izvestiya TINRO. 2018. V. 195. P. 3–27. DOI: 10.26428/1606-9919-2018-195-3-27. (In Russ.)
  86. Volvenko I.V. The Adaptive Zone: From Evolutionary Biology to Ecology and Biogeography. Review and a Case Study with Examples for Fisheries Science. Reviews in Fisheries Science & Aquaculture. 2022. V. 30(422). P. 520–541. DOI: https://doi.org/10.1080/23308249.2022.2067741
  87. Vozzhinskaya V.B., Blinova E.I. Some materials on the distribution and biological features of algae of western Kamchatka. Trudi IOAN. 1970. V. 88. P. 298–307. (In Russ.)
  88. Zharikov V.V. History of kelp (sea cabbage) fishing off the coast of Primorye. Vestnik DVO RAN. 2001. V.4. P. 125–138. (In Russ.)
  89. Zinova E.S. Algae of the Sea of Japan. Red algae (Rhodophyceae). Trudi Tikhookeanskogo komiteta. Moscow–Leningrad, 1940. V. 5. 164 p. (In Russ.)
  90. Zuyenko Yu.I., Aseyeva N.L., Glebova S.Yu., Gostrenko L.M., Dubinina A.YU., Dulepova E.P., Zolotov A.O., Loboda S.V., Lysenko A.V., Matveev V.I., Muktepavel L.S., Ovsyannikov E.E., Figurkin A.L., SHatilina T.A. Modern changes in the ecosystem of the Sea of Okhotsk (2008–2018). Izvestiya TINRO. 2019. V. 197. P. 35–61. DOI: https://doi.org/10.26428/1606-9919-2019-197-35-61 (In Russ.)


Author

Dulenin Alexander A.

ORCID ID – https://orcid.org/0000-0002-3491-6805

Khabarovsk Branch of VNIRO («KhabarovskNIRO»), Khabarovsk, Russia

dulenin@khabarovsk.vniro.ru

 

ARTICLE LINK:

Dulenin A.A. Structuring the sublittoral vegetation of the Russian Far Eastern seas from the perspective of the adaptive zone concept. Voprosy sovremennoi algologii (Issues of modern algology). 2024. № 23 (35–36). P. 44–83. URL: http://algology.ru/2235

DOI https://doi.org/10.33624/2311-0147-2024-2-3(35-36)-44-83; EDN EHJFCV


When reprinting a link to the site is required


Dear colleagues! If you want to receive the version of the article in PDF format, write to the editor,please and we send it to you with pleasure for free. 
Address - info@algology.ru

 

 

На ГЛАВНУЮ

Карта сайта

 

К разделу ОБЗОРЫ, СТАТЬИ И КРАТКИЕ СООБЩЕНИЯ








ГЛАВНАЯ

НОВОСТИ

РЕДАКЦИОННАЯ ПОЛИТИКА

О ЖУРНАЛЕ

АВТОРАМ

38 номеров журнала

ENGLISH SUMMARY

ОБЗОРЫ И СТАТЬИ

ТЕМАТИЧЕСКИЕ РАЗДЕЛЫ

КОНФЕРЕНЦИИ

СТУДЕНЧЕСКИЕ РАБОТЫ

РЕЦЕНЗИИ


Перейти в
ПРИЛОЖЕНИЕ к журналу
www.algae.ru:

Об авторах журнала,
Объекты исследований,
История Альгологии,
Публикации прошлых лет,
Определители и Монографии,
Классика отечественной альгологии,
Научно-популярный раздел




ОТЕЧЕСТВЕННАЯ АЛЬГОЛОГИЯ
СЕГОДНЯ


ВЕДУЩИЕ АЛЬГОЛОГИЧЕСКИЕ
ЦЕНТРЫ


СЕКЦИЯ  АЛЬГОЛОГИИ  МОИП



НАШИ ПАРТНЕРЫ


ПРЕМИИ

КОНТАКТЫ



Карта сайта






Рассылки Subscribe.Ru
Журнал "Вопросы современной альгологии"
Подписаться письмом


Облако тегов:
микроводоросли    макроводоросли    пресноводные    морские    симбиотические_водоросли    почвенные    Desmidiales(отд.Сharophyta)    Chlorophyta    Rhodophyta    Conjugatophyceae(Zygnematophyceae)    Phaeophyceae    Chrysophyceae    Диатомеи     Dinophyta    Prymnesiophyta_(Haptophyta)    Cyanophyta    Charophyceae    бентос    планктон    перифитон    кокколитофориды    Экология    Систематика    Флора_и_География    Культивирование    методы_микроскопии    Химический_состав    Минеральное_питание    Ультраструктура    Загрязнение    Биоиндикация    Размножение    Морфогенез    Морфология_и_Морфометрия    Физиология    Морские_травы    Использование    ОПРЕДЕЛИТЕЛИ    Фотосинтез    Фитоценология    Антарктида    Японское_море    Черное_море    Белое_море    Баренцево_море    Карское_море    Дальний_Восток    Азовское_море    Каспийское_море    Чукотское_море    КОНФЕРЕНЦИИ    ПЕРСОНАЛИИ    Bacillariophyceae    ИСТОРИЯ    РЕЦЕНЗИЯ    Биотехнология    Динамические_модели    Экстремальные_экосистемы    Ископаемые_водоросли    Сезонные_изменения    Биоразнообразие    Аральское_море    первичная_продукция    Байкал    молекулярно-генетический_анализ    мониторинг    Хлорофилл_a    гипергалинные_водоемы    сообщества_макрофитов    эвтрофикация    инвазивные_виды    

КОНТАКТЫ

Email: info@algology.ru

Изготовление интернет сайта
5Dmedia

ЛИЦЕНЗИЯ

Эл N ФС 77-22222 от 01 ноября 2005г.

ISSN 2311-0147